🇳🇴 🇬🇧 🇩🇪 🇨🇿 🇫🇮

Meteor Vansbron yllä 2021-10-23 02:23:32 UTC

KML-tiedosto  |  Interaktiivinen kartta

Kartta näyttää meteorin suuntahavainnot. Vaaleammat viivat näyttävät suunnat havaintoasemilta meteorin ilmestyessä, ja tummemmat viivat näyttävät, missä se viimeksi nähtiin. Sininen nuoli näyttää meteorin näkyvän lennon.

static map
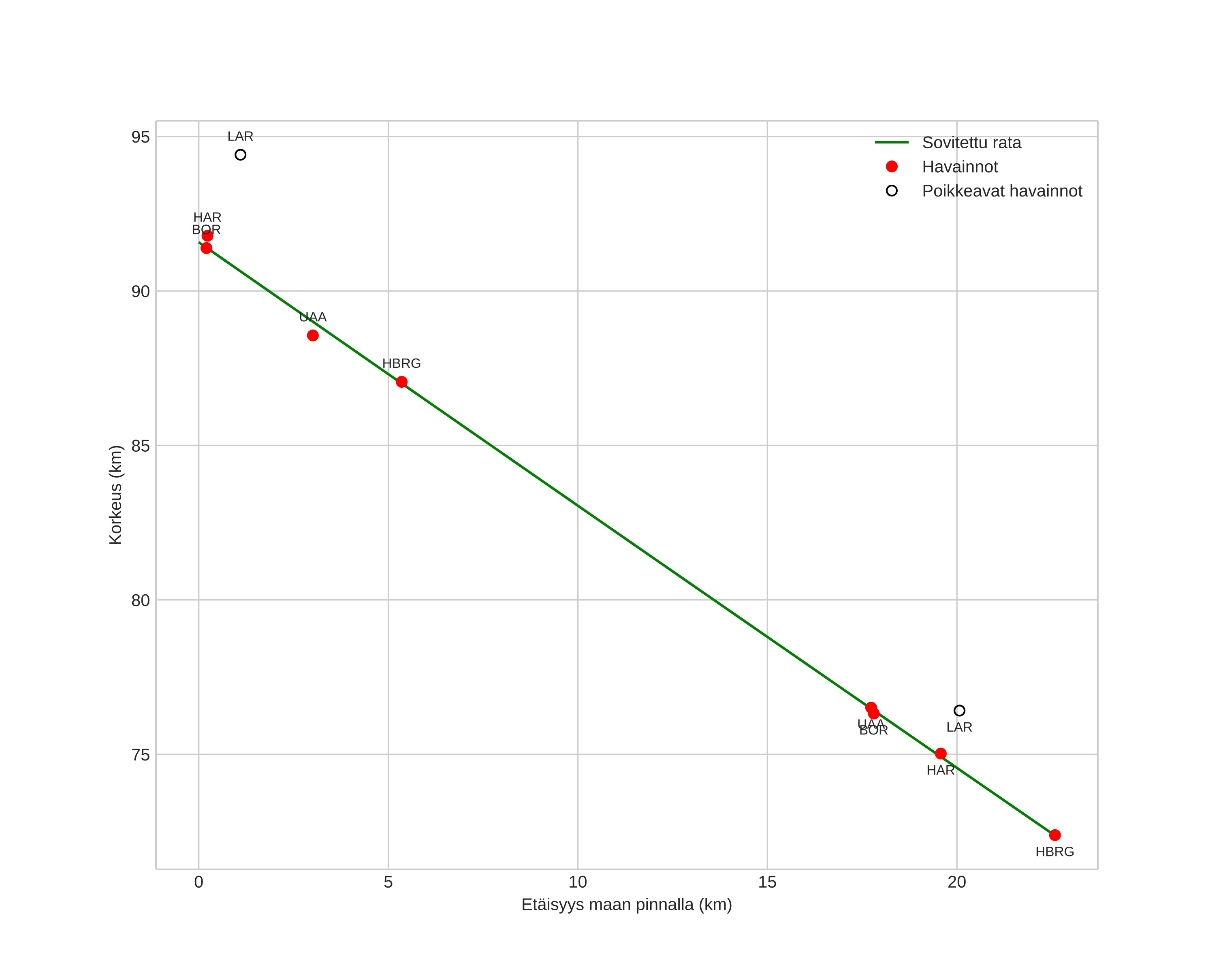
height profile
Meteorin ilmakehärata:
Alkukorkeus: 92,7 km
Loppukorkeus: 72,9 km
Alkupiste: 60,643N 14,025E
Loppupiste: 60,455N 14,219E
Suunta: 153,2°
Kallistuskulma: 40,1°
Tulonopeus: 27,0 km/s
Radiantin R,A,: 20:43 (310,8°)
Radiantin Dekl,: 61,1°
Meteoriparvi: Sporadinen
Meteoroidin rataelementit:
Perihelietäisyys: 0,962 AU
Eksentrisyys: 0,939
Inklinaatio: 35,0°
Nousevan solmun pituus: 209,6°
Perihelin argumentti: 201,2°
Keskianomalia: 359,8°
Epookki: 2021 OCT 23 02:23:32
orbit plot

Ei-interaktiivinen kuvaaja | Interaktiivinen kuvaaja

position vs time
speed and acceleration