🇳🇴 🇬🇧 🇩🇪 🇨🇿 🇫🇮

Meteor, poloha: Sunne 2021-10-23 02:23:47 UTC

Soubor KML  |  InteraktivnĂ­ mapa

Mapa zobrazuje dráhy meteoru. Světlejší čáry ukazují směry od pozorovacích stanic při objevení se meteoru a tmavší čáry, kde byl naposledy viděn. Modrá šipka značí viditelnou dráhu meteoru.

static map
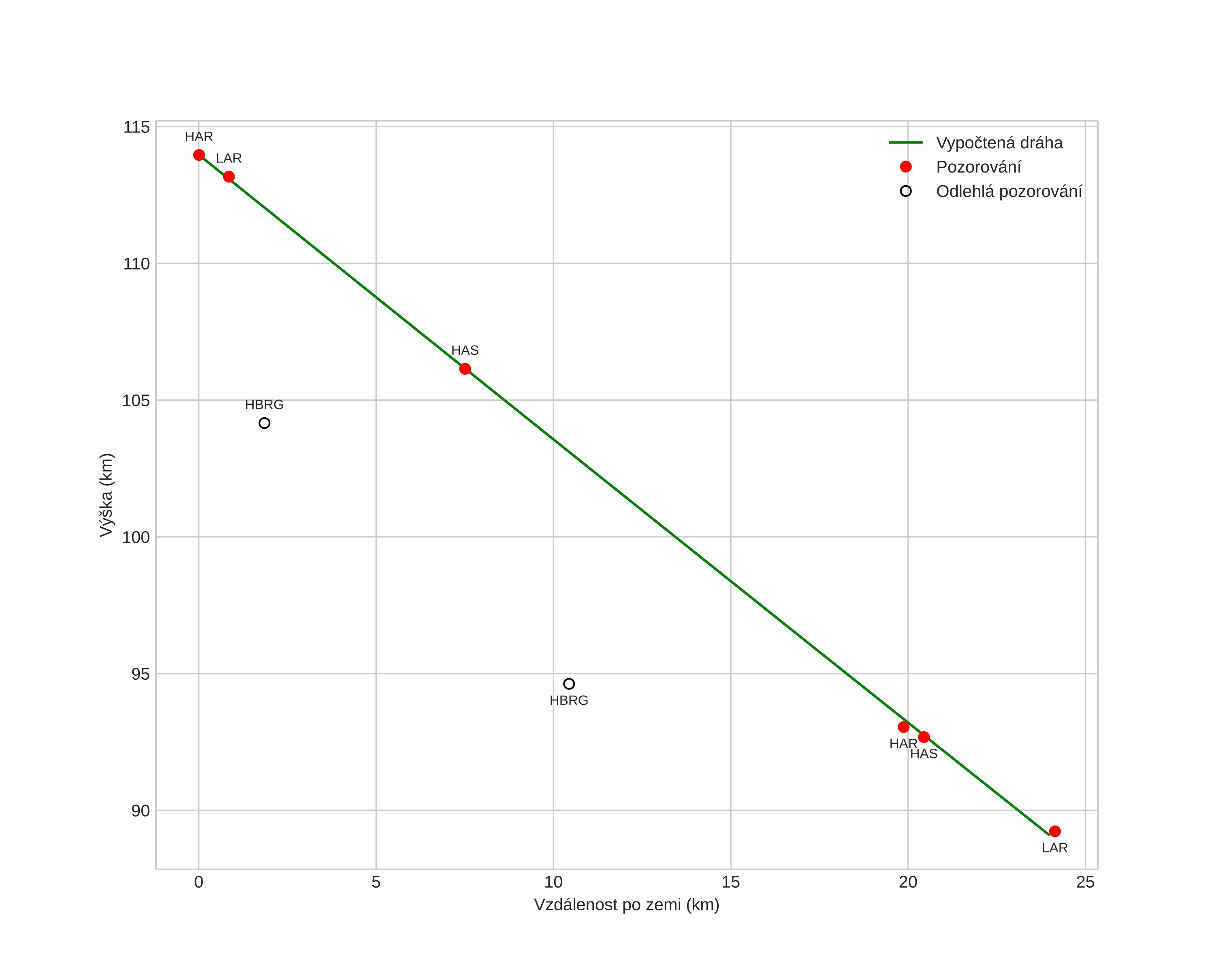
height profile
Atmosférická dráha meteoru:
Počáteční výška: 110,5 km
Konečná výška: 88,4 km
Počáteční poloha: 59,440N 13,054E
Konečná poloha: 59,620N 12,925E
Směr: 340,0°
Sklon: 46,0°
VstupnĂ­ rychlost: 67,3 km/s
Rektascenze radiantu: 06:18 (94,5°)
Deklinace radiantu: 16,4°
MeteorickĂ˝ roj: Orionidy
Elementy dráhy meteoroidu:
Vzdálenost v periheliu: 0,531 AU
Excentricita: 0,984
Sklon dráhy: 164,8°
Délka vzestupného uzlu: 29,6°
Argument perihelia: 86,6°
Střední anomálie: 359,8°
Epocha: 2021 OCT 23 02:23:47
orbit plot

NeinteraktivnĂ­ graf | InteraktivnĂ­ graf

position vs time
speed and acceleration