🇳🇴 🇬🇧 🇩🇪 🇨🇿 🇫🇮

Meteor Sunnen yllä 2021-10-23 02:23:47 UTC

KML-tiedosto  |  Interaktiivinen kartta

Kartta näyttää meteorin suuntahavainnot. Vaaleammat viivat näyttävät suunnat havaintoasemilta meteorin ilmestyessä, ja tummemmat viivat näyttävät, missä se viimeksi nähtiin. Sininen nuoli näyttää meteorin näkyvän lennon.

static map
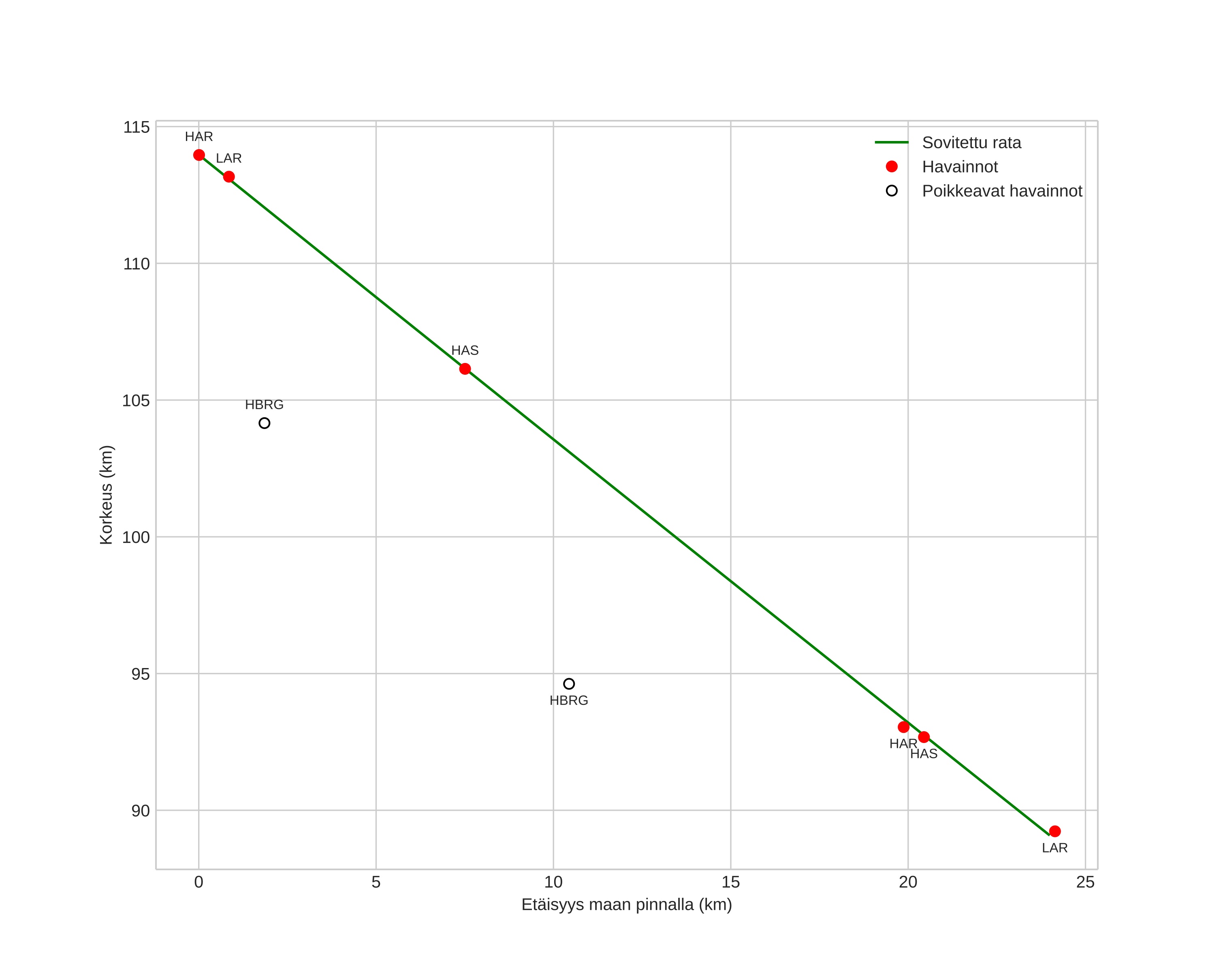
height profile
Meteorin ilmakehärata:
Alkukorkeus: 110,5 km
Loppukorkeus: 88,4 km
Alkupiste: 59,440N 13,054E
Loppupiste: 59,620N 12,925E
Suunta: 340,0°
Kallistuskulma: 46,0°
Tulonopeus: 67,3 km/s
Radiantin R,A,: 06:18 (94,5°)
Radiantin Dekl,: 16,4°
Meteoriparvi: Orionidit
Meteoroidin rataelementit:
Perihelietäisyys: 0,531 AU
Eksentrisyys: 0,984
Inklinaatio: 164,8°
Nousevan solmun pituus: 29,6°
Perihelin argumentti: 86,6°
Keskianomalia: 359,8°
Epookki: 2021 OCT 23 02:23:47
orbit plot

Ei-interaktiivinen kuvaaja | Interaktiivinen kuvaaja

position vs time
speed and acceleration