🇳🇴 🇬🇧 🇩🇪 🇨🇿 🇫🇮

Meteor, poloha: Innbygda 2021-10-23 03:00:29 UTC

Soubor KML

Mapa zobrazuje dráhy meteoru. Světlejší čáry ukazují směry od pozorovacích stanic při objevení se meteoru a tmavší čáry, kde byl naposledy viděn. Modrá šipka značí viditelnou dráhu meteoru.

static map
height profile
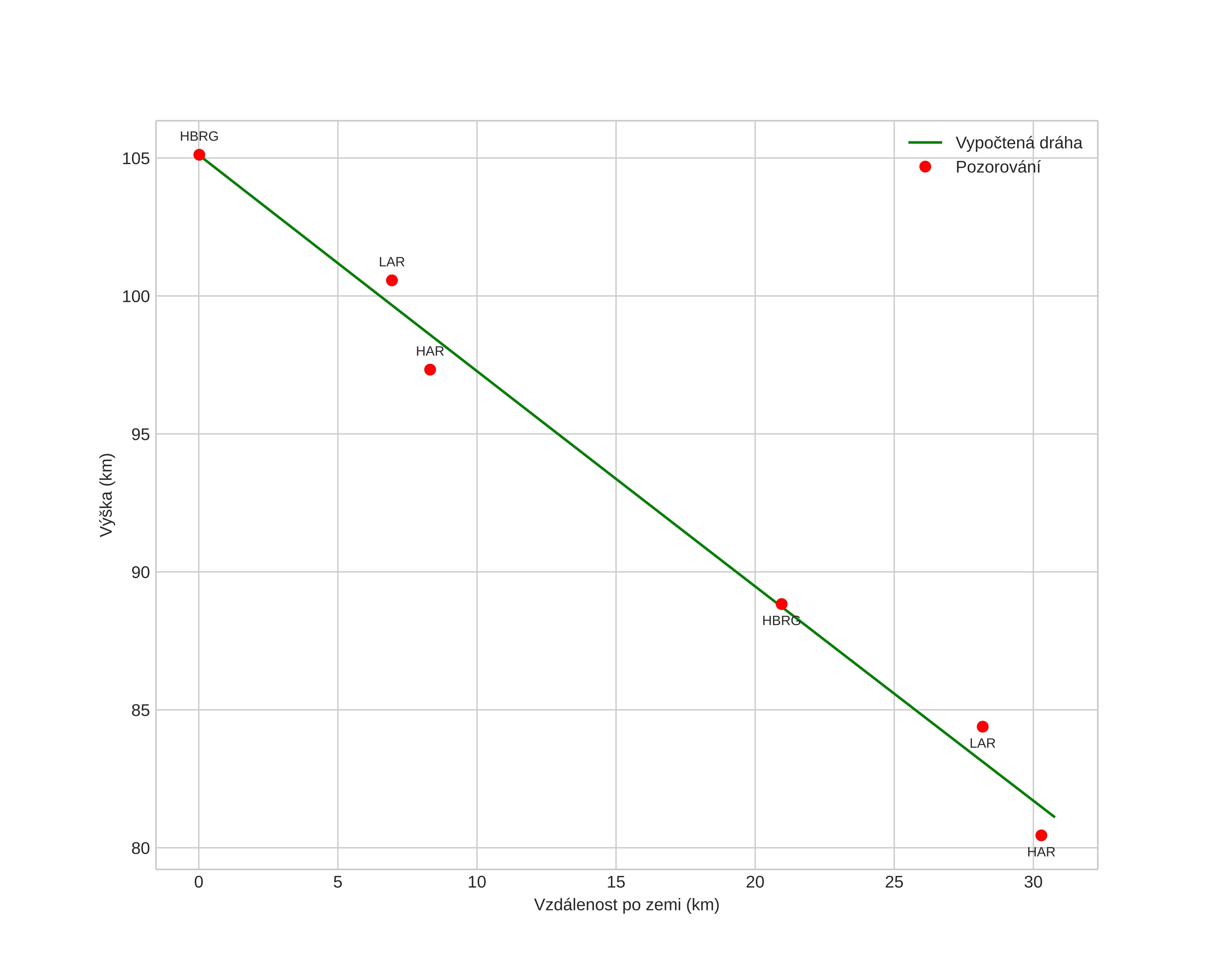
Atmosférická dráha meteoru:
Počáteční výška: 105,1 km
Konečná výška: 81,1 km
Počáteční poloha: 60,986N 13,170E
Konečná poloha: 61,016N 12,603E
Směr: 276,6°
Sklon: 37,9°
VstupnĂ­ rychlost: 71,3 km/s
Rektascenze radiantu: 10:15 (153,9°)
Deklinace radiantu: 29,4°
MeteorickĂ˝ roj: sporadickĂ˝
Elementy dráhy meteoroidu:
Vzdálenost v periheliu: 0,669 AU
Excentricita: 1,303
Sklon dráhy: 145,6°
Délka vzestupného uzlu: 209,6°
Argument perihelia: 114,9°
Střední anomálie: 9,5°
Epocha: 2021 OCT 23 03:00:29
orbit plot

NeinteraktivnĂ­ graf

position vs time
speed and acceleration