🇳🇴 🇬🇧 🇩🇪 🇨🇿 🇫🇮

Meteor Innbygdan yllä 2021-10-23 03:00:29 UTC

KML-tiedosto  |  Interaktiivinen kartta

Kartta näyttää meteorin suuntahavainnot. Vaaleammat viivat näyttävät suunnat havaintoasemilta meteorin ilmestyessä, ja tummemmat viivat näyttävät, missä se viimeksi nähtiin. Sininen nuoli näyttää meteorin näkyvän lennon.

static map
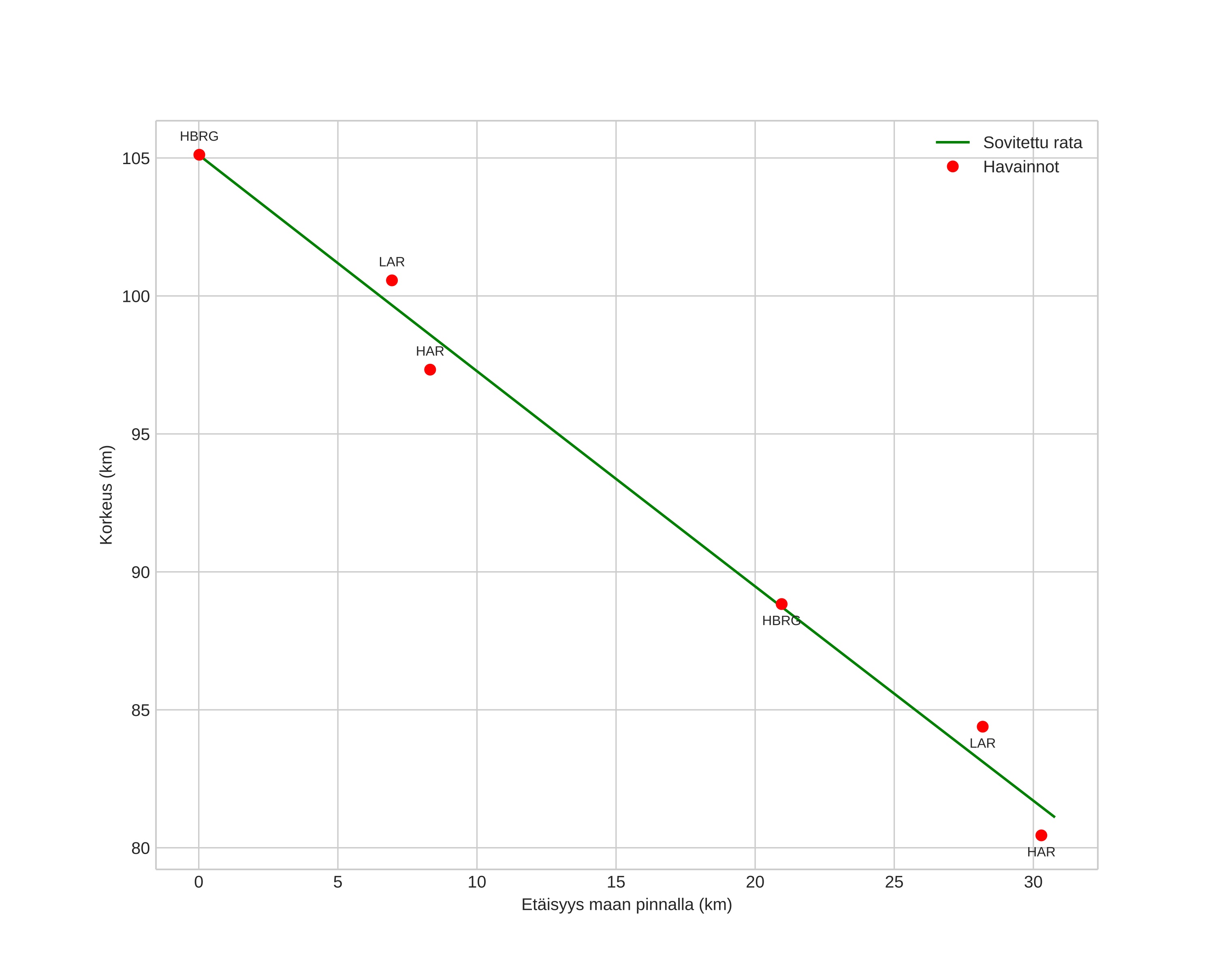
height profile
Meteorin ilmakehärata:
Alkukorkeus: 105,4 km
Loppukorkeus: 82,2 km
Alkupiste: 60,988N 13,166E
Loppupiste: 61,019N 12,614E
Suunta: 277,0°
Kallistuskulma: 37,8°
Tulonopeus: 71,4 km/s
Radiantin R,A,: 10:15 (153,8°)
Radiantin Dekl,: 29,1°
Meteoriparvi: Sporadinen
Meteoroidin rataelementit:
Perihelietäisyys: 0,667 AU
Eksentrisyys: 1,298
Inklinaatio: 146,2°
Nousevan solmun pituus: 209,6°
Perihelin argumentti: 114,6°
Keskianomalia: 9,3°
Epookki: 2021 OCT 23 03:00:29
orbit plot

Ei-interaktiivinen kuvaaja | Interaktiivinen kuvaaja

position vs time
speed and acceleration