🇳🇴 🇬🇧 🇩🇪 🇨🇿 🇫🇮

Meteor, poloha: Jokkmokk 2021-10-23 21:26:25 UTC

Soubor KML  |  InteraktivnĂ­ mapa

Mapa zobrazuje dráhy meteoru. Světlejší čáry ukazují směry od pozorovacích stanic při objevení se meteoru a tmavší čáry, kde byl naposledy viděn. Modrá šipka značí viditelnou dráhu meteoru.

static map
height profile
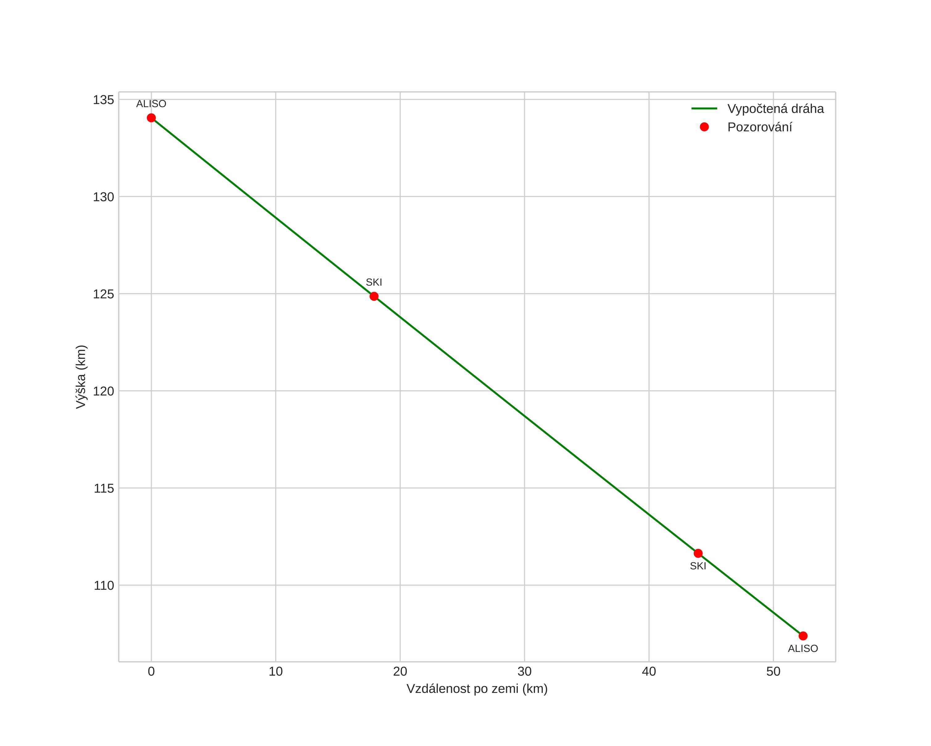
Atmosférická dráha meteoru:
Počáteční výška: 136,4 km
Konečná výška: 109,5 km
Počáteční poloha: 67,383N 19,993E
Konečná poloha: 67,495N 18,776E
Směr: 284,0°
Sklon: 26,7°
VstupnĂ­ rychlost: 79,1 km/s
Rektascenze radiantu: 05:21 (80,5°)
Deklinace radiantu: 19,1°
MeteorickĂ˝ roj: sporadickĂ˝
Elementy dráhy meteoroidu:
Vzdálenost v periheliu: 0,388 AU
Excentricita: 1,731
Sklon dráhy: 169,6°
Délka vzestupného uzlu: 30,4°
Argument perihelia: 87,8°
Střední anomálie: -68,7°
Epocha: 2021 OCT 23 21:26:25
orbit plot

NeinteraktivnĂ­ graf | InteraktivnĂ­ graf

position vs time
speed and acceleration