🇳🇴 🇬🇧 🇩🇪 🇨🇿 🇫🇮

Meteor Jokkmokkin yllä 2021-10-23 21:26:25 UTC

KML-tiedosto  |  Interaktiivinen kartta

Kartta näyttää meteorin suuntahavainnot. Vaaleammat viivat näyttävät suunnat havaintoasemilta meteorin ilmestyessä, ja tummemmat viivat näyttävät, missä se viimeksi nähtiin. Sininen nuoli näyttää meteorin näkyvän lennon.

static map
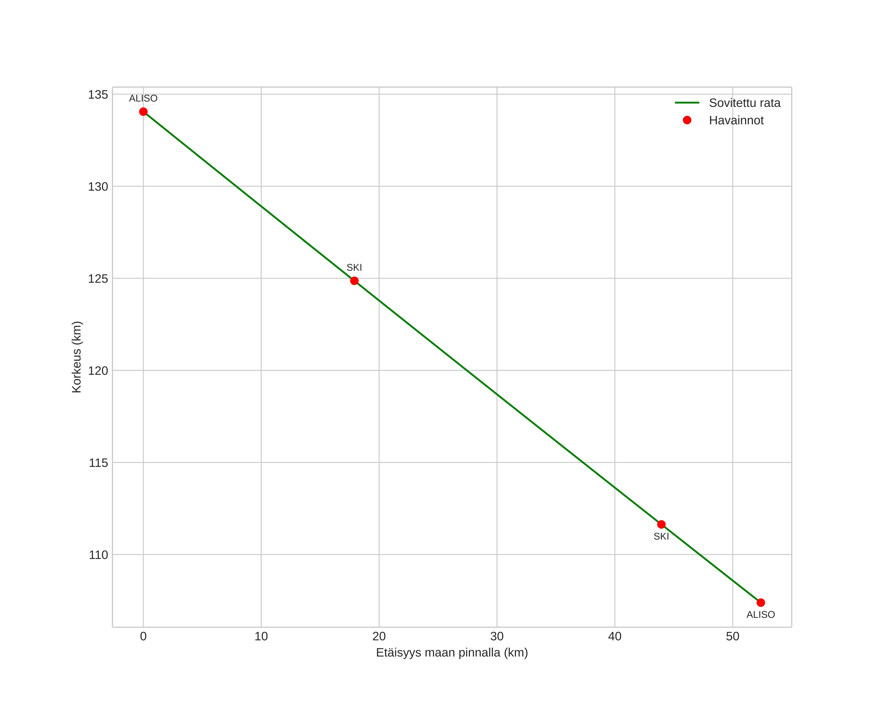
height profile
Meteorin ilmakehärata:
Alkukorkeus: 136,4 km
Loppukorkeus: 109,5 km
Alkupiste: 67,383N 19,993E
Loppupiste: 67,495N 18,776E
Suunta: 284,0°
Kallistuskulma: 26,7°
Tulonopeus: 79,1 km/s
Radiantin R,A,: 05:21 (80,5°)
Radiantin Dekl,: 19,1°
Meteoriparvi: Sporadinen
Meteoroidin rataelementit:
Perihelietäisyys: 0,388 AU
Eksentrisyys: 1,731
Inklinaatio: 169,6°
Nousevan solmun pituus: 30,4°
Perihelin argumentti: 87,8°
Keskianomalia: -68,7°
Epookki: 2021 OCT 23 21:26:25
orbit plot

Ei-interaktiivinen kuvaaja | Interaktiivinen kuvaaja

position vs time
speed and acceleration