🇳🇴 🇬🇧 🇩🇪 🇨🇿 🇫🇮

Meteor, poloha: Glommen 2021-10-26 18:53:03 UTC

Soubor KML  |  InteraktivnĂ­ mapa

Mapa zobrazuje dráhy meteoru. Světlejší čáry ukazují směry od pozorovacích stanic při objevení se meteoru a tmavší čáry, kde byl naposledy viděn. Modrá šipka značí viditelnou dráhu meteoru.

static map
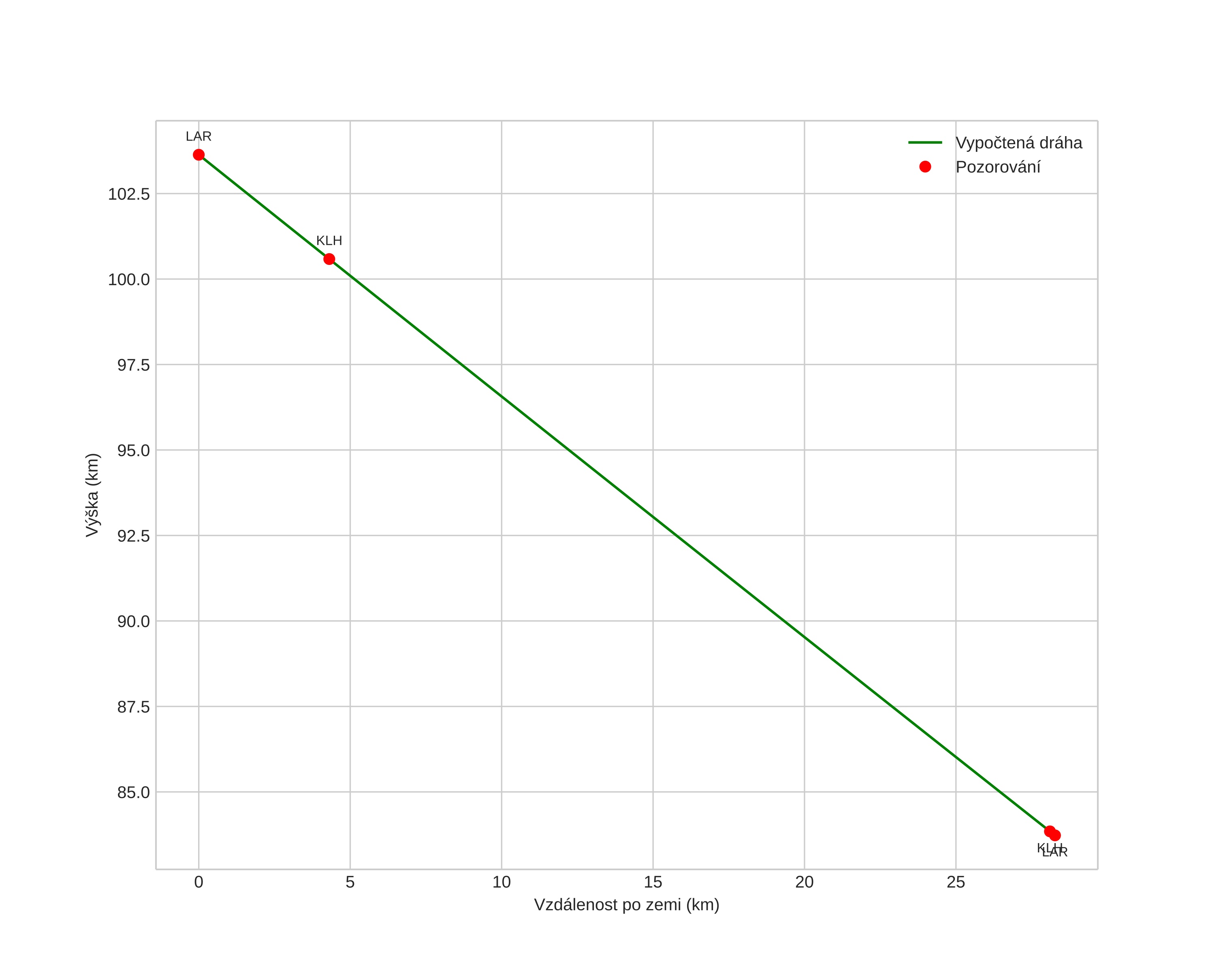
height profile
Atmosférická dráha meteoru:
Počáteční výška: 107,9 km
Konečná výška: 83,8 km
Počáteční poloha: 57,204N 12,032E
Konečná poloha: 56,922N 12,258E
Směr: 156,3°
Sklon: 35,2°
VstupnĂ­ rychlost: 46,2 km/s
Rektascenze radiantu: 13:04 (196,1°)
Deklinace radiantu: 62,0°
MeteorickĂ˝ roj: sporadickĂ˝
Elementy dráhy meteoroidu:
Vzdálenost v periheliu: 0,924 AU
Excentricita: 0,933
Sklon dráhy: 75,4°
Délka vzestupného uzlu: 213,3°
Argument perihelia: 148,8°
Střední anomálie: 0,4°
Epocha: 2021 OCT 26 18:53:03
orbit plot

NeinteraktivnĂ­ graf | InteraktivnĂ­ graf

position vs time
speed and acceleration