🇳🇴 🇬🇧 🇩🇪 🇨🇿 🇫🇮

Meteor Glommenin yllä 2021-10-26 18:53:03 UTC

KML-tiedosto  |  Interaktiivinen kartta

Kartta näyttää meteorin suuntahavainnot. Vaaleammat viivat näyttävät suunnat havaintoasemilta meteorin ilmestyessä, ja tummemmat viivat näyttävät, missä se viimeksi nähtiin. Sininen nuoli näyttää meteorin näkyvän lennon.

static map
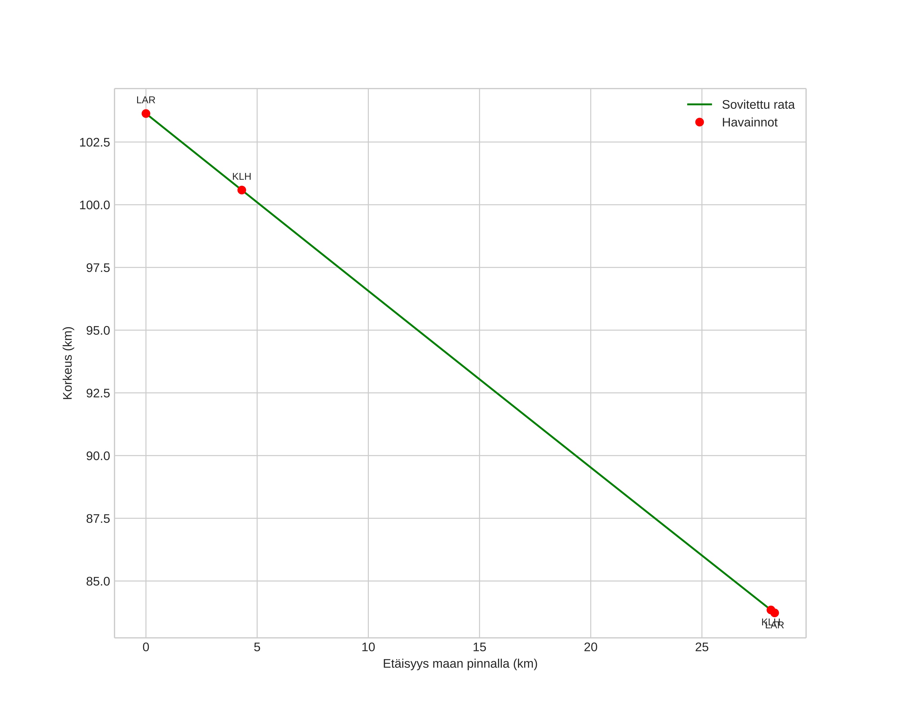
height profile
Meteorin ilmakehärata:
Alkukorkeus: 107,9 km
Loppukorkeus: 83,8 km
Alkupiste: 57,204N 12,032E
Loppupiste: 56,922N 12,258E
Suunta: 156,3°
Kallistuskulma: 35,2°
Tulonopeus: 46,2 km/s
Radiantin R,A,: 13:04 (196,1°)
Radiantin Dekl,: 62,0°
Meteoriparvi: Sporadinen
Meteoroidin rataelementit:
Perihelietäisyys: 0,924 AU
Eksentrisyys: 0,933
Inklinaatio: 75,4°
Nousevan solmun pituus: 213,3°
Perihelin argumentti: 148,8°
Keskianomalia: 0,4°
Epookki: 2021 OCT 26 18:53:03
orbit plot

Ei-interaktiivinen kuvaaja | Interaktiivinen kuvaaja

position vs time
speed and acceleration