🇳🇴 🇬🇧 🇩🇪 🇨🇿 🇫🇮

Meteor, poloha: Myre 2021-10-29 20:05:17 UTC

Soubor KML  |  InteraktivnĂ­ mapa

Mapa zobrazuje dráhy meteoru. Světlejší čáry ukazují směry od pozorovacích stanic při objevení se meteoru a tmavší čáry, kde byl naposledy viděn. Modrá šipka značí viditelnou dráhu meteoru.

static map
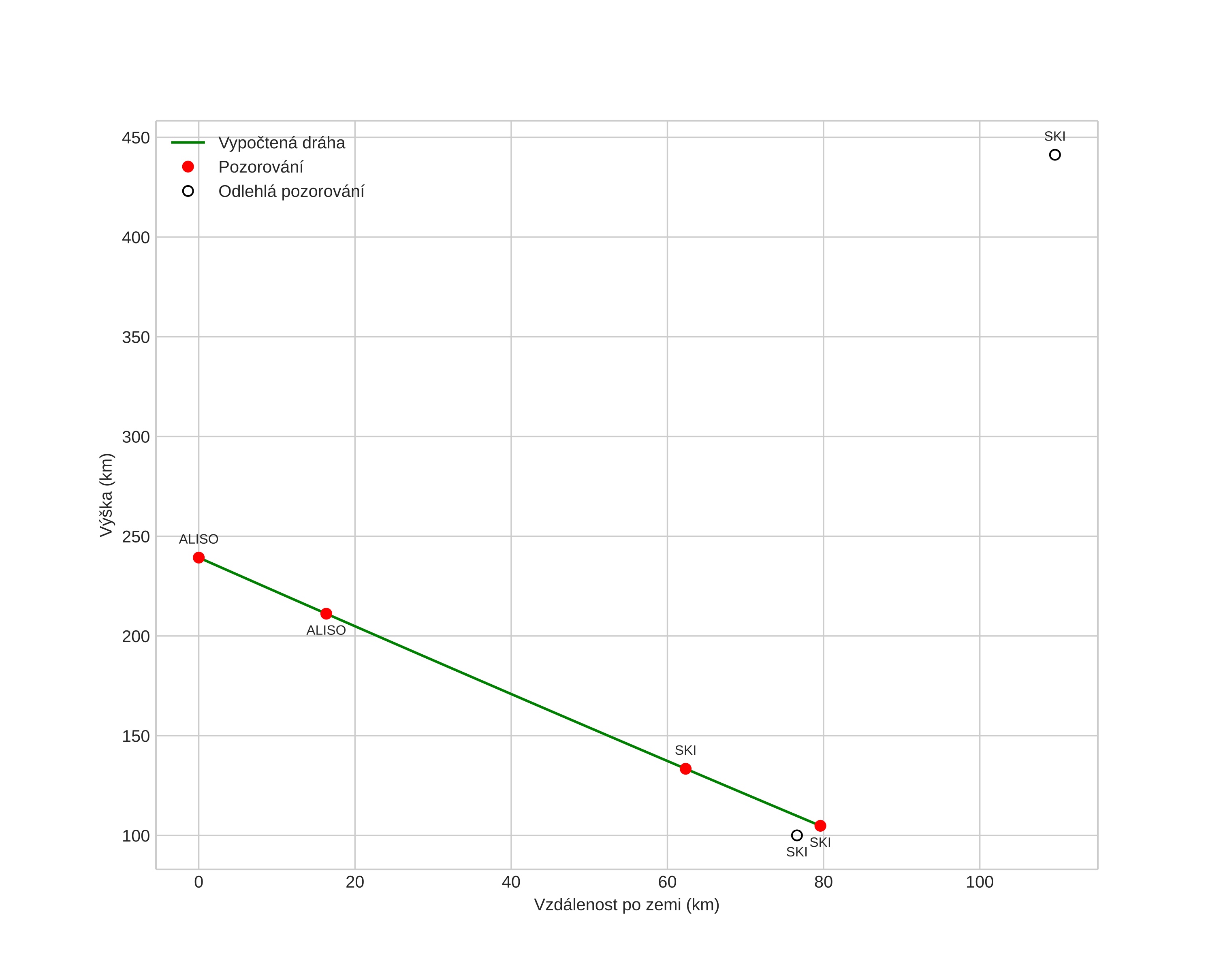
height profile
Atmosférická dráha meteoru:
Počáteční výška: 241,4 km
Konečná výška: 104,9 km
Počáteční poloha: 70,948N 15,003E
Konečná poloha: 70,277N 14,522E
Směr: 193,6°
Sklon: 60,7°
VstupnĂ­ rychlost: 88,6 km/s
Rektascenze radiantu: 09:18 (139,5°)
Deklinace radiantu: 78,5°
MeteorickĂ˝ roj: sporadickĂ˝
Elementy dráhy meteoroidu:
Vzdálenost v periheliu: 0,968 AU
Excentricita: 5,608
Sklon dráhy: 100,6°
Délka vzestupného uzlu: 216,3°
Argument perihelia: 194,2°
Střední anomálie: -55,5°
Epocha: 2021 OCT 29 20:05:17
orbit plot

NeinteraktivnĂ­ graf | InteraktivnĂ­ graf

position vs time
speed and acceleration