🇳🇴 🇬🇧 🇩🇪 🇨🇿 🇫🇮

Meteor Myren yllä 2021-10-29 20:05:17 UTC

KML-tiedosto  |  Interaktiivinen kartta

Kartta näyttää meteorin suuntahavainnot. Vaaleammat viivat näyttävät suunnat havaintoasemilta meteorin ilmestyessä, ja tummemmat viivat näyttävät, missä se viimeksi nähtiin. Sininen nuoli näyttää meteorin näkyvän lennon.

static map
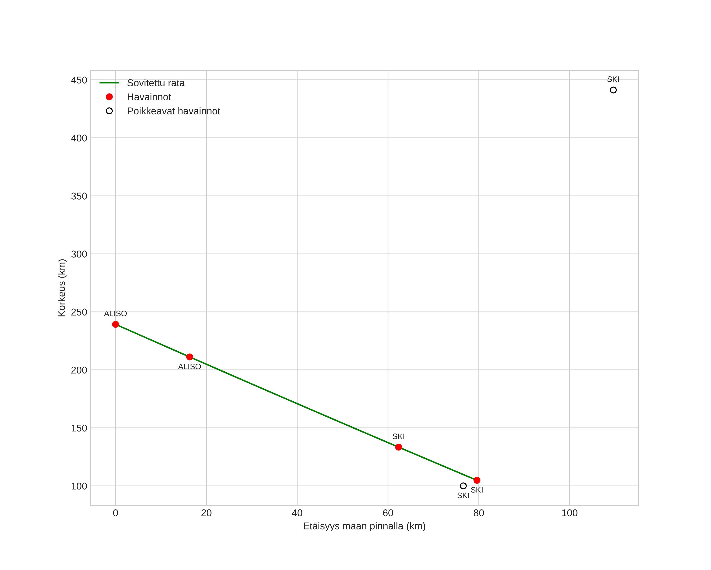
height profile
Meteorin ilmakehärata:
Alkukorkeus: 241,4 km
Loppukorkeus: 104,9 km
Alkupiste: 70,948N 15,003E
Loppupiste: 70,277N 14,522E
Suunta: 193,6°
Kallistuskulma: 60,7°
Tulonopeus: 88,6 km/s
Radiantin R,A,: 09:18 (139,5°)
Radiantin Dekl,: 78,5°
Meteoriparvi: Sporadinen
Meteoroidin rataelementit:
Perihelietäisyys: 0,968 AU
Eksentrisyys: 5,608
Inklinaatio: 100,6°
Nousevan solmun pituus: 216,3°
Perihelin argumentti: 194,2°
Keskianomalia: -55,5°
Epookki: 2021 OCT 29 20:05:17
orbit plot

Ei-interaktiivinen kuvaaja | Interaktiivinen kuvaaja

position vs time
speed and acceleration