🇳🇴 🇬🇧 🇩🇪 🇨🇿 🇫🇮

Meteor, poloha: Vigrestad 2021-11-03 18:35:22 UTC

Soubor KML  |  InteraktivnĂ­ mapa

Mapa zobrazuje dráhy meteoru. Světlejší čáry ukazují směry od pozorovacích stanic při objevení se meteoru a tmavší čáry, kde byl naposledy viděn. Modrá šipka značí viditelnou dráhu meteoru.

static map
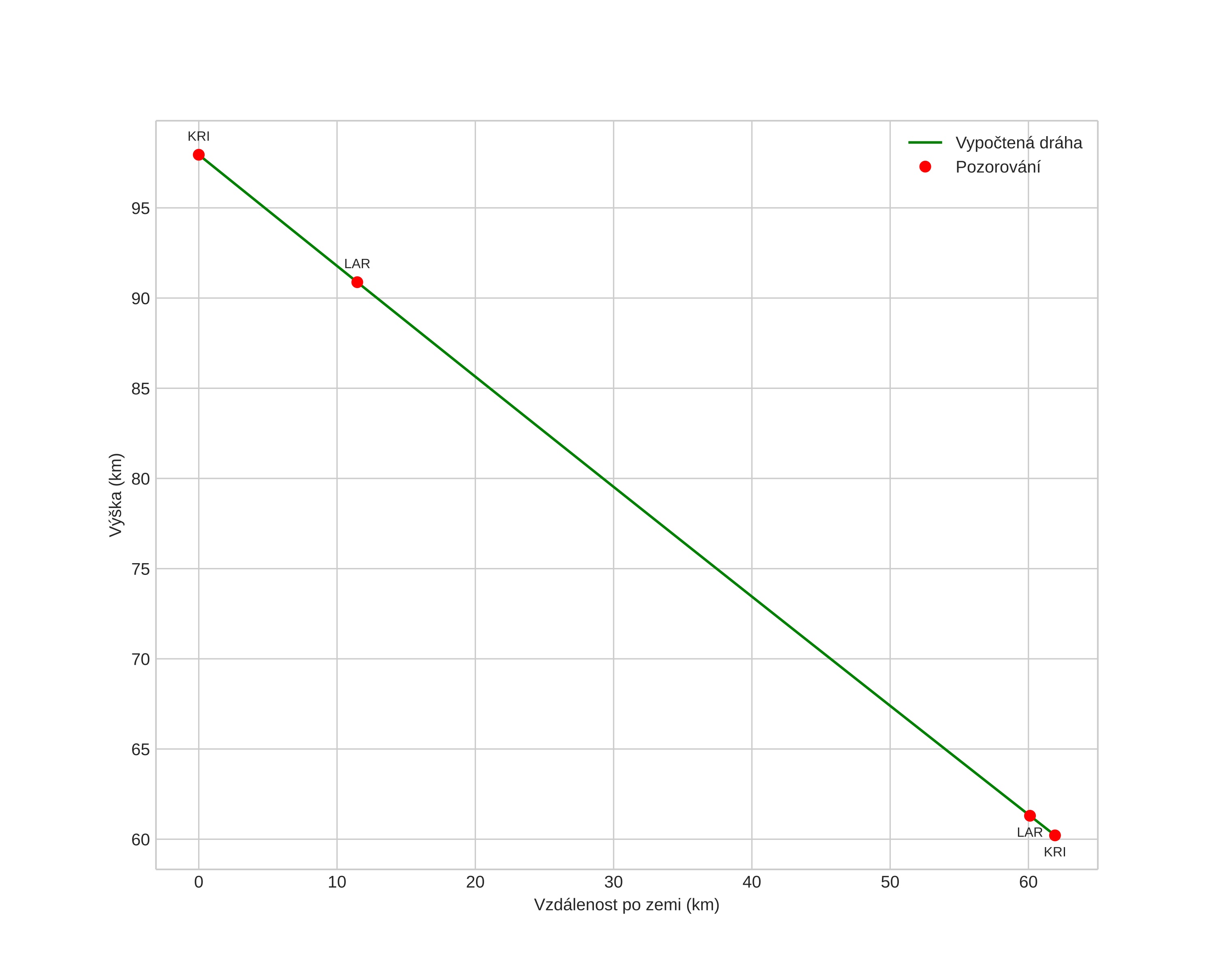
height profile
Atmosférická dráha meteoru:
Počáteční výška: 96,8 km
Konečná výška: 65,1 km
Počáteční poloha: 56,888N 6,149E
Konečná poloha: 56,791N 4,921E
Směr: 262,3°
Sklon: 22,8°
VstupnĂ­ rychlost: 33,1 km/s
Rektascenze radiantu: 03:29 (52,4°)
Deklinace radiantu: 21,3°
MeteorickĂ˝ roj: SevernĂ­ Tauridy
Elementy dráhy meteoroidu:
Vzdálenost v periheliu: 0,300 AU
Excentricita: 0,880
Sklon dráhy: 3,1°
Délka vzestupného uzlu: 221,2°
Argument perihelia: 299,4°
Střední anomálie: 350,0°
Epocha: 2021 NOV 03 18:35:22
orbit plot

NeinteraktivnĂ­ graf | InteraktivnĂ­ graf

position vs time
speed and acceleration