🇳🇴 🇬🇧 🇩🇪 🇨🇿 🇫🇮

Meteor Vigrestadin yllä 2021-11-03 18:35:22 UTC

KML-tiedosto  |  Interaktiivinen kartta

Kartta näyttää meteorin suuntahavainnot. Vaaleammat viivat näyttävät suunnat havaintoasemilta meteorin ilmestyessä, ja tummemmat viivat näyttävät, missä se viimeksi nähtiin. Sininen nuoli näyttää meteorin näkyvän lennon.

static map
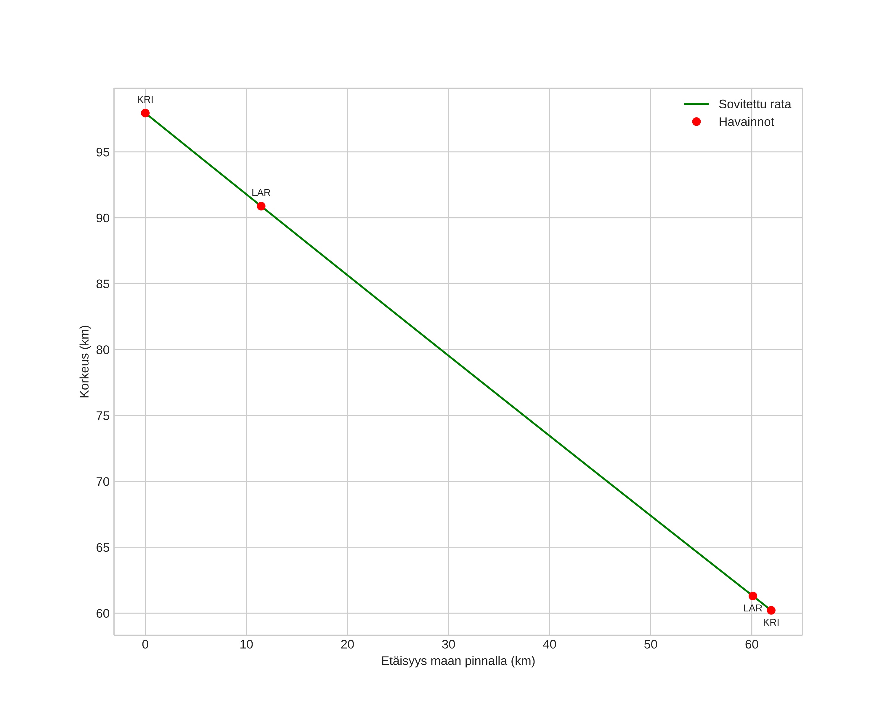
height profile
Meteorin ilmakehärata:
Alkukorkeus: 96,8 km
Loppukorkeus: 65,1 km
Alkupiste: 56,888N 6,149E
Loppupiste: 56,791N 4,921E
Suunta: 262,3°
Kallistuskulma: 22,8°
Tulonopeus: 33,1 km/s
Radiantin R,A,: 03:29 (52,4°)
Radiantin Dekl,: 21,3°
Meteoriparvi: Pohjoiset tauridit
Meteoroidin rataelementit:
Perihelietäisyys: 0,300 AU
Eksentrisyys: 0,880
Inklinaatio: 3,1°
Nousevan solmun pituus: 221,2°
Perihelin argumentti: 299,4°
Keskianomalia: 350,0°
Epookki: 2021 NOV 03 18:35:22
orbit plot

Ei-interaktiivinen kuvaaja | Interaktiivinen kuvaaja

position vs time
speed and acceleration