🇳🇴 🇬🇧 🇩🇪 🇨🇿 🇫🇮

Meteor, poloha: Harboøre 2021-11-03 18:48:11 UTC

Soubor KML  |  InteraktivnĂ­ mapa

Mapa zobrazuje dráhy meteoru. Světlejší čáry ukazují směry od pozorovacích stanic při objevení se meteoru a tmavší čáry, kde byl naposledy viděn. Modrá šipka značí viditelnou dráhu meteoru.

static map
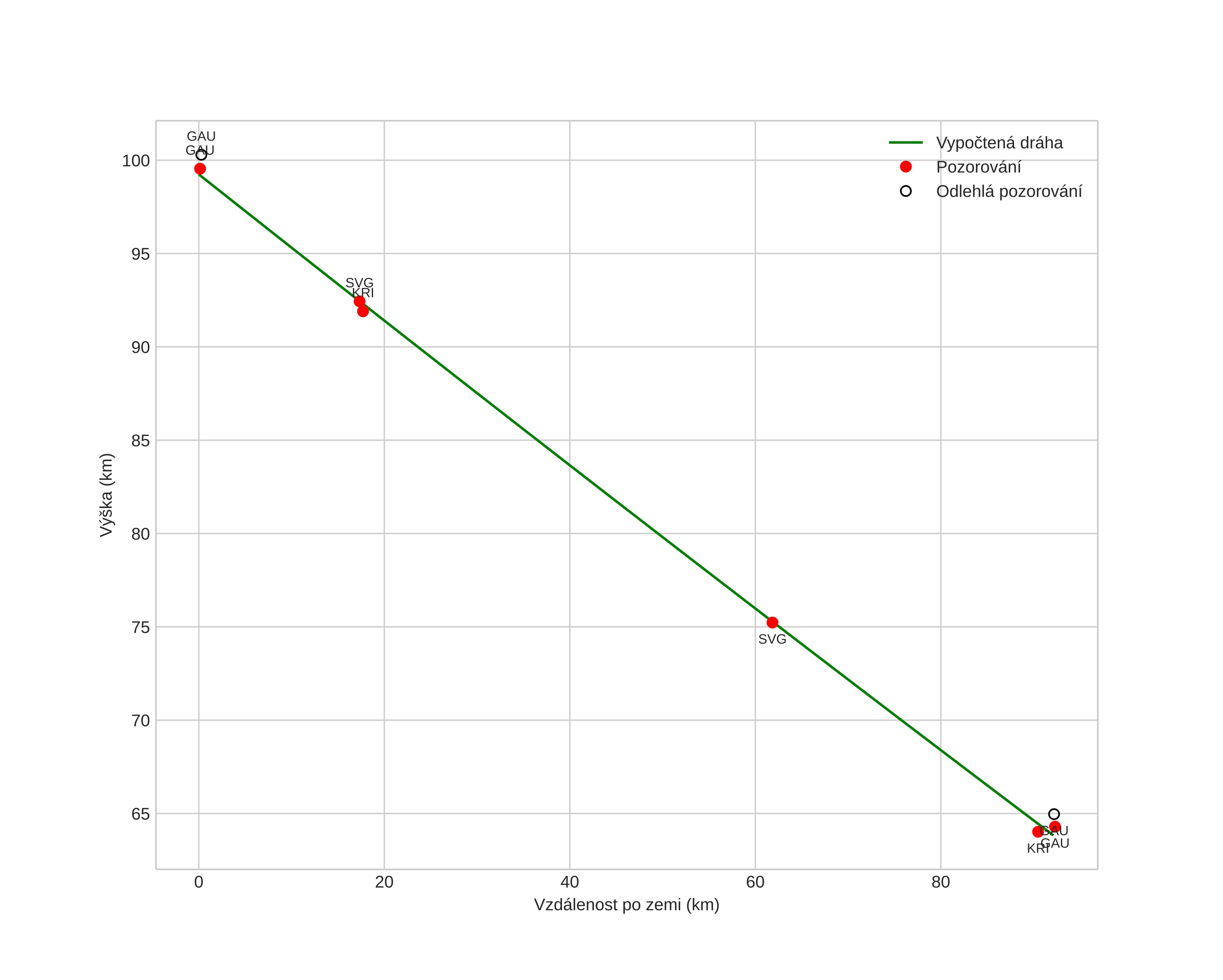
height profile
Atmosférická dráha meteoru:
Počáteční výška: 92,1 km
Konečná výška: 64,4 km
Počáteční poloha: 56,434N 8,278E
Konečná poloha: 56,457N 7,089E
Směr: 272,4°
Sklon: 20,7°
VstupnĂ­ rychlost: 29,4 km/s
Rektascenze radiantu: 03:24 (51,1°)
Deklinace radiantu: 13,4°
MeteorickĂ˝ roj: JiĹľnĂ­ Tauridy
Elementy dráhy meteoroidu:
Vzdálenost v periheliu: 0,386 AU
Excentricita: 0,809
Sklon dráhy: 5,5°
Délka vzestupného uzlu: 41,3°
Argument perihelia: 111,5°
Střední anomálie: 345,0°
Epocha: 2021 NOV 03 18:48:11
orbit plot

NeinteraktivnĂ­ graf | InteraktivnĂ­ graf

position vs time
speed and acceleration