🇳🇴 🇬🇧 🇩🇪 🇨🇿 🇫🇮

Meteor über Harboøre 2021-11-03 18:48:11 UTC

KML-Datei  |  Interaktive Karte

Die Karte zeigt die Peilungen für den Meteor. Die helleren Linien zeigen die Richtungen von den Beobachtungsorten beim Erscheinen des Meteors, und die dunkleren Linien, wo er zuletzt gesehen wurde. Der blaue Pfeil zeigt die sichtbare Bahn des Meteors.

static map
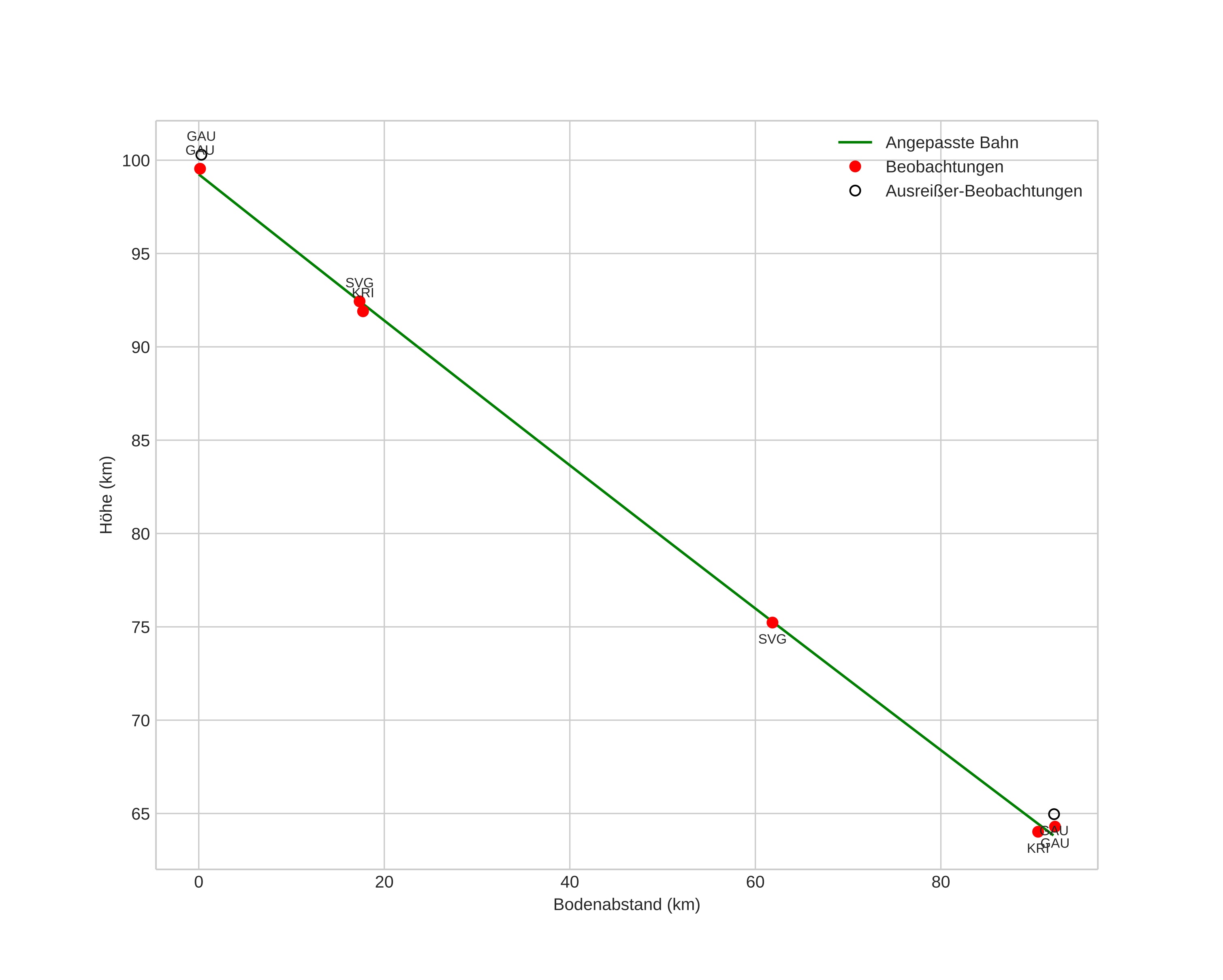
height profile
Atmosphärische Bahn des Meteors:
Anfangshöhe: 92,1 km
Endhöhe: 64,4 km
Startposition: 56,434N 8,278E
Endposition: 56,457N 7,089E
Richtung: 272,4°
Neigungswinkel: 20,7°
Eintrittsgeschwindigkeit: 29,4 km/s
Rektaszension des Radianten: 03:24 (51,1°)
Deklination des Radianten: 13,4°
Meteorstrom: Südliche Tauriden
Bahnelemente des Meteoroiden:
Periheldistanz: 0,386 AU
Exzentrizität: 0,809
Inklination: 5,5°
Länge des aufsteigenden Knotens: 41,3°
Argument des Perihels: 111,5°
Mittlere Anomalie: 345,0°
Epoche: 2021 NOV 03 18:48:11
orbit plot

Nicht-interaktives Diagramm | Interaktives Diagramm

position vs time
speed and acceleration