🇳🇴 🇬🇧 🇩🇪 🇨🇿 🇫🇮

Meteor, poloha: Roa 2021-11-04 03:41:25 UTC

Soubor KML  |  InteraktivnĂ­ mapa

Mapa zobrazuje dráhy meteoru. Světlejší čáry ukazují směry od pozorovacích stanic při objevení se meteoru a tmavší čáry, kde byl naposledy viděn. Modrá šipka značí viditelnou dráhu meteoru.

static map
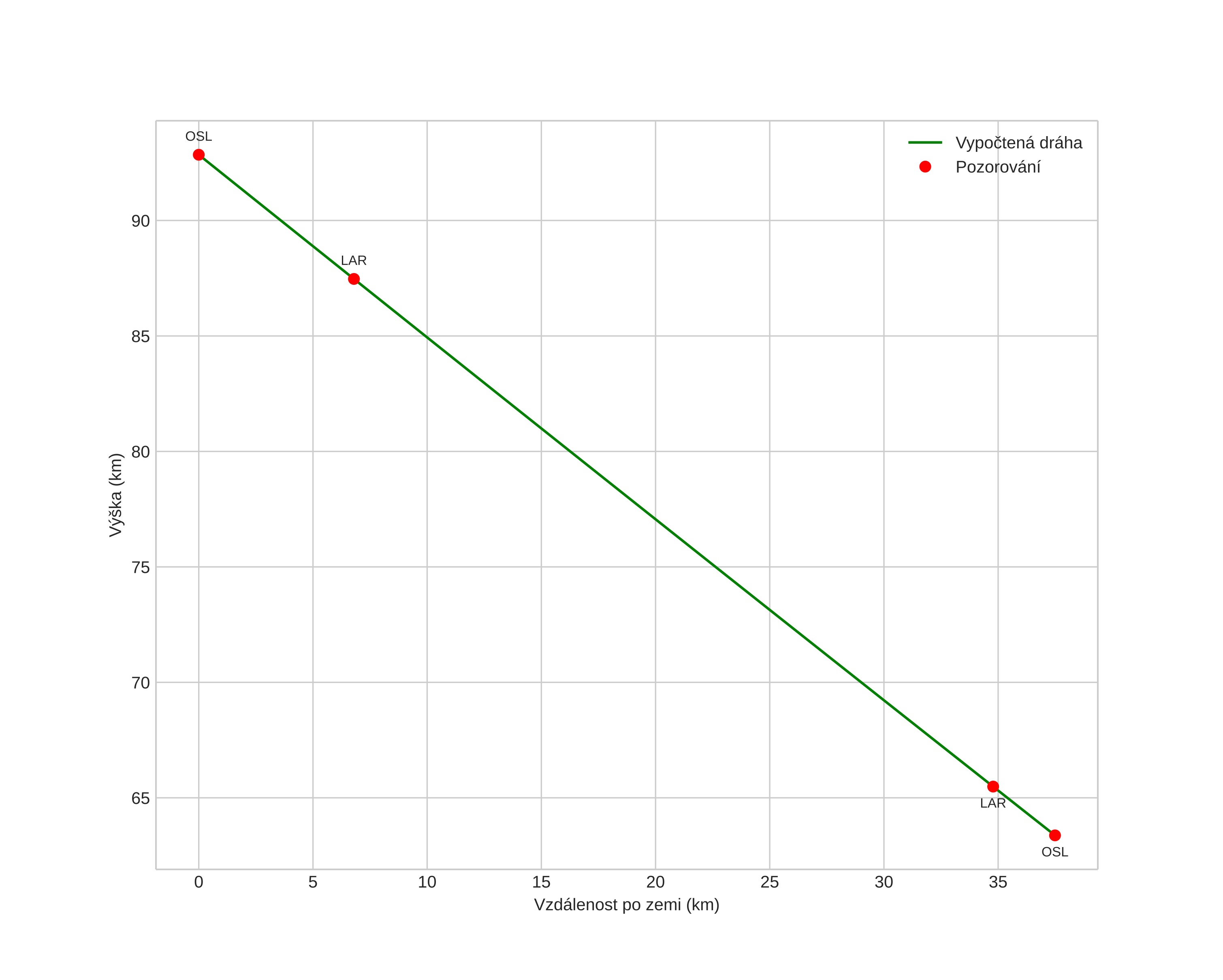
height profile
Atmosférická dráha meteoru:
Počáteční výška: 96,7 km
Konečná výška: 63,7 km
Počáteční poloha: 60,163N 9,880E
Konečná poloha: 60,265N 10,623E
Směr: 74,2°
Sklon: 37,8°
VstupnĂ­ rychlost: 33,1 km/s
Rektascenze radiantu: 03:20 (50,2°)
Deklinace radiantu: 23,4°
MeteorickĂ˝ roj: SevernĂ­ Tauridy
Elementy dráhy meteoroidu:
Vzdálenost v periheliu: 0,325 AU
Excentricita: 0,899
Sklon dráhy: 6,4°
Délka vzestupného uzlu: 221,6°
Argument perihelia: 294,9°
Střední anomálie: 353,2°
Epocha: 2021 NOV 04 03:41:25
orbit plot

NeinteraktivnĂ­ graf | InteraktivnĂ­ graf

position vs time
speed and acceleration