🇳🇴 🇬🇧 🇩🇪 🇨🇿 🇫🇮

Meteor Roan yllä 2021-11-04 03:41:25 UTC

KML-tiedosto  |  Interaktiivinen kartta

Kartta näyttää meteorin suuntahavainnot. Vaaleammat viivat näyttävät suunnat havaintoasemilta meteorin ilmestyessä, ja tummemmat viivat näyttävät, missä se viimeksi nähtiin. Sininen nuoli näyttää meteorin näkyvän lennon.

static map
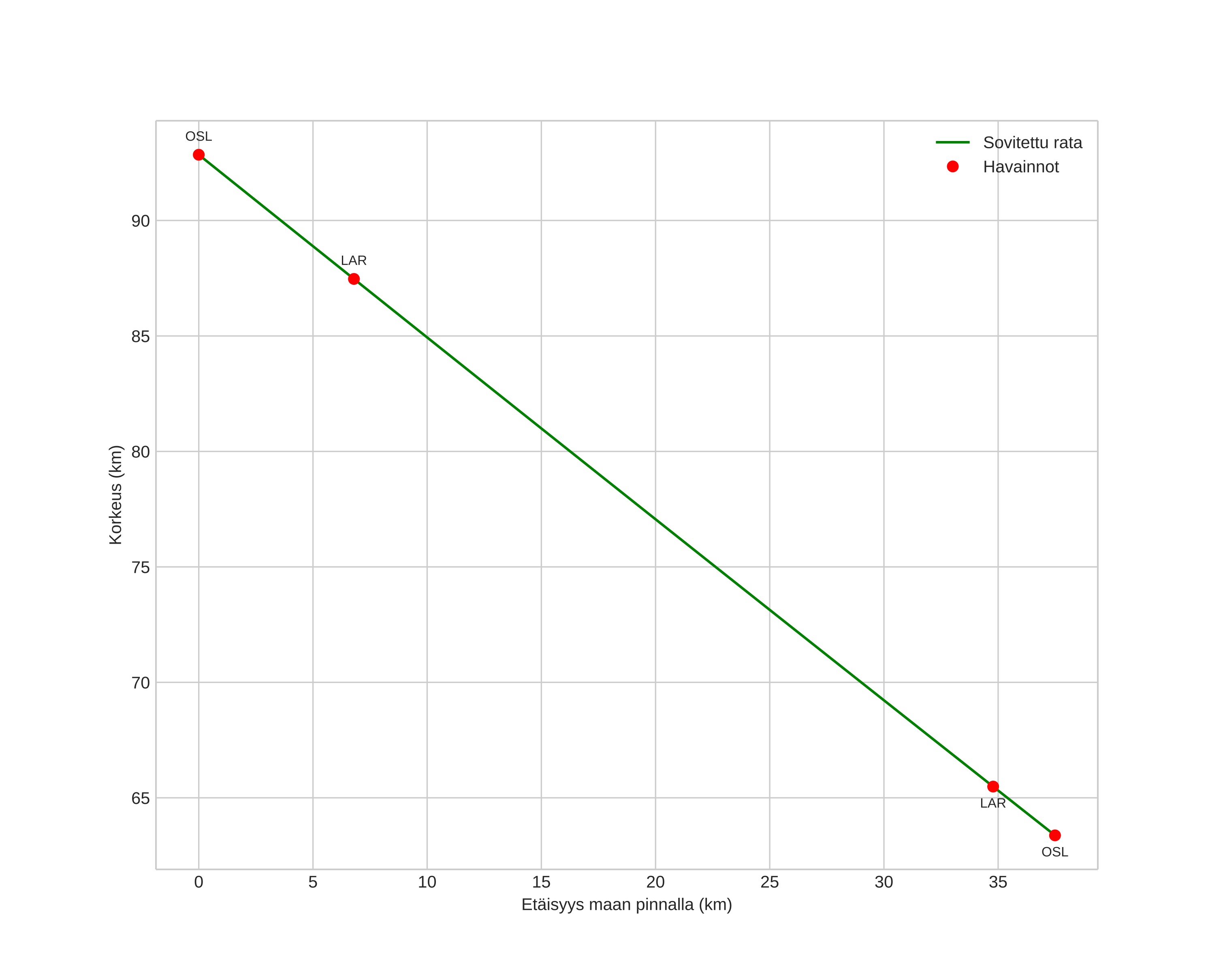
height profile
Meteorin ilmakehärata:
Alkukorkeus: 96,7 km
Loppukorkeus: 63,7 km
Alkupiste: 60,163N 9,880E
Loppupiste: 60,265N 10,623E
Suunta: 74,2°
Kallistuskulma: 37,8°
Tulonopeus: 33,1 km/s
Radiantin R,A,: 03:20 (50,2°)
Radiantin Dekl,: 23,4°
Meteoriparvi: Pohjoiset tauridit
Meteoroidin rataelementit:
Perihelietäisyys: 0,325 AU
Eksentrisyys: 0,899
Inklinaatio: 6,4°
Nousevan solmun pituus: 221,6°
Perihelin argumentti: 294,9°
Keskianomalia: 353,2°
Epookki: 2021 NOV 04 03:41:25
orbit plot

Ei-interaktiivinen kuvaaja | Interaktiivinen kuvaaja

position vs time
speed and acceleration