🇳🇴 🇬🇧 🇩🇪 🇨🇿 🇫🇮

Meteor, poloha: Ulefoss 2021-11-04 23:55:33 UTC

Soubor KML  |  InteraktivnĂ­ mapa

Mapa zobrazuje dráhy meteoru. Světlejší čáry ukazují směry od pozorovacích stanic při objevení se meteoru a tmavší čáry, kde byl naposledy viděn. Modrá šipka značí viditelnou dráhu meteoru.

static map
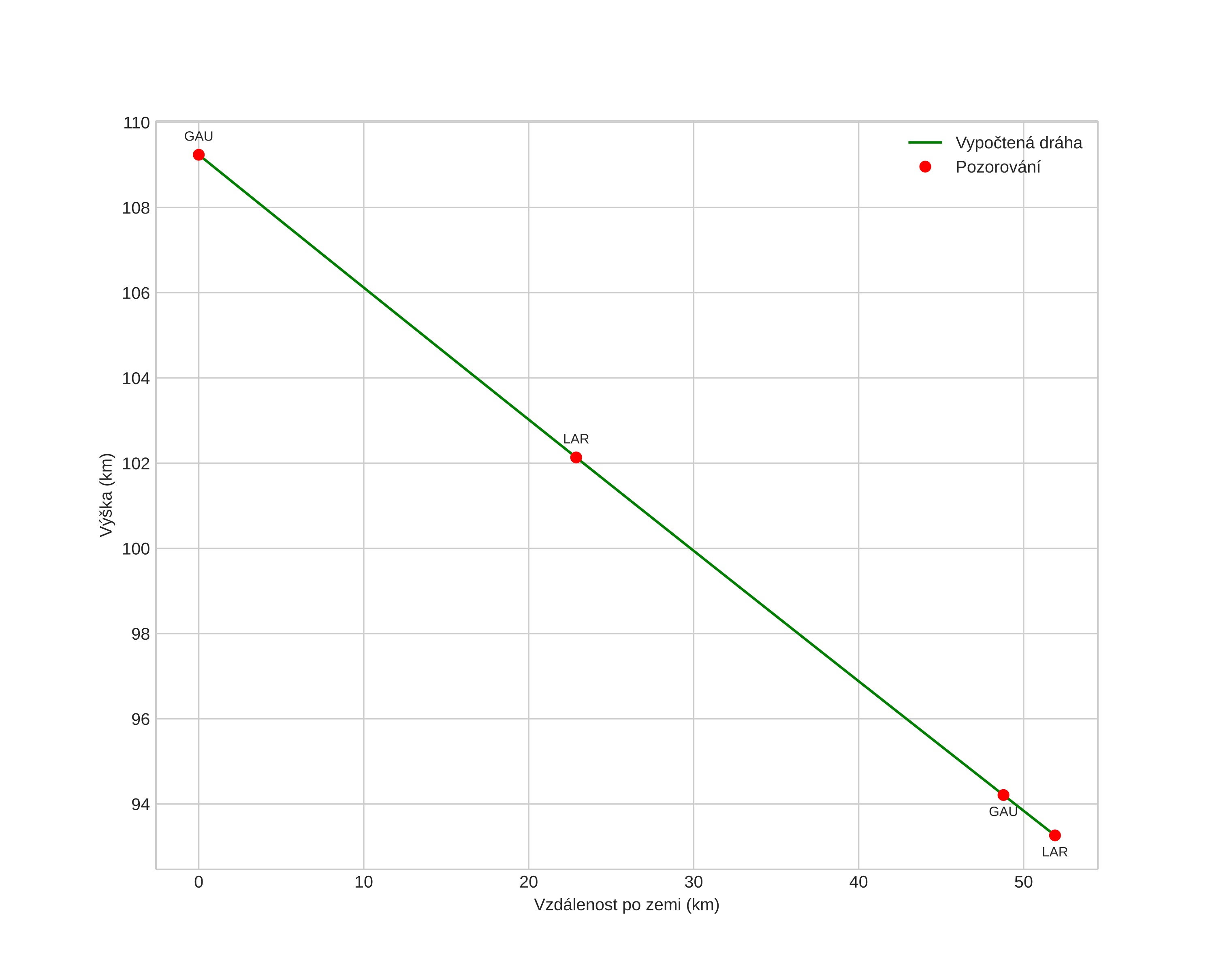
height profile
Atmosférická dráha meteoru:
Počáteční výška: 115,1 km
Konečná výška: 92,5 km
Počáteční poloha: 59,735N 10,186E
Konečná poloha: 59,381N 9,463E
Směr: 226,3°
Sklon: 21,8°
VstupnĂ­ rychlost: 67,8 km/s
Rektascenze radiantu: 11:29 (172,3°)
Deklinace radiantu: 39,8°
MeteorickĂ˝ roj: sporadickĂ˝
Elementy dráhy meteoroidu:
Vzdálenost v periheliu: 0,820 AU
Excentricita: 1,419
Sklon dráhy: 120,5°
Délka vzestupného uzlu: 222,5°
Argument perihelia: 134,9°
Střední anomálie: 9,0°
Epocha: 2021 NOV 04 23:55:33
orbit plot

NeinteraktivnĂ­ graf | InteraktivnĂ­ graf

position vs time
speed and acceleration