🇳🇴 🇬🇧 🇩🇪 🇨🇿 🇫🇮

Meteor Ulefossin yllä 2021-11-04 23:55:33 UTC

KML-tiedosto  |  Interaktiivinen kartta

Kartta näyttää meteorin suuntahavainnot. Vaaleammat viivat näyttävät suunnat havaintoasemilta meteorin ilmestyessä, ja tummemmat viivat näyttävät, missä se viimeksi nähtiin. Sininen nuoli näyttää meteorin näkyvän lennon.

static map
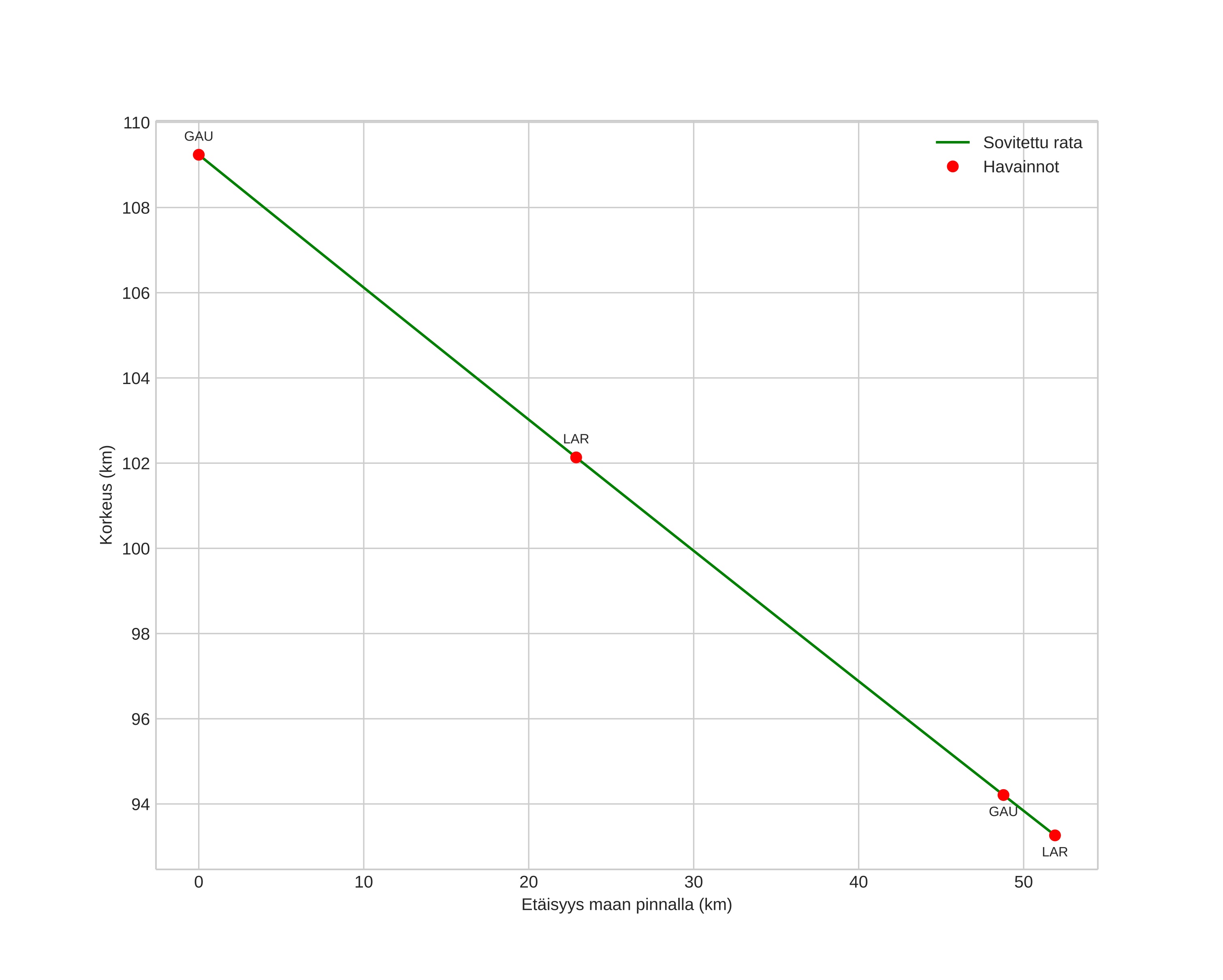
height profile
Meteorin ilmakehärata:
Alkukorkeus: 115,1 km
Loppukorkeus: 92,5 km
Alkupiste: 59,735N 10,186E
Loppupiste: 59,381N 9,463E
Suunta: 226,3°
Kallistuskulma: 21,8°
Tulonopeus: 67,8 km/s
Radiantin R,A,: 11:29 (172,3°)
Radiantin Dekl,: 39,8°
Meteoriparvi: Sporadinen
Meteoroidin rataelementit:
Perihelietäisyys: 0,820 AU
Eksentrisyys: 1,419
Inklinaatio: 120,5°
Nousevan solmun pituus: 222,5°
Perihelin argumentti: 134,9°
Keskianomalia: 9,0°
Epookki: 2021 NOV 04 23:55:33
orbit plot

Ei-interaktiivinen kuvaaja | Interaktiivinen kuvaaja

position vs time
speed and acceleration