🇳🇴 🇬🇧 🇩🇪 🇨🇿 🇫🇮

Meteor, poloha: Ă…ndalsnes 2021-11-05 16:54:49 UTC

Soubor KML  |  InteraktivnĂ­ mapa

Mapa zobrazuje dráhy meteoru. Světlejší čáry ukazují směry od pozorovacích stanic při objevení se meteoru a tmavší čáry, kde byl naposledy viděn. Modrá šipka značí viditelnou dráhu meteoru.

static map
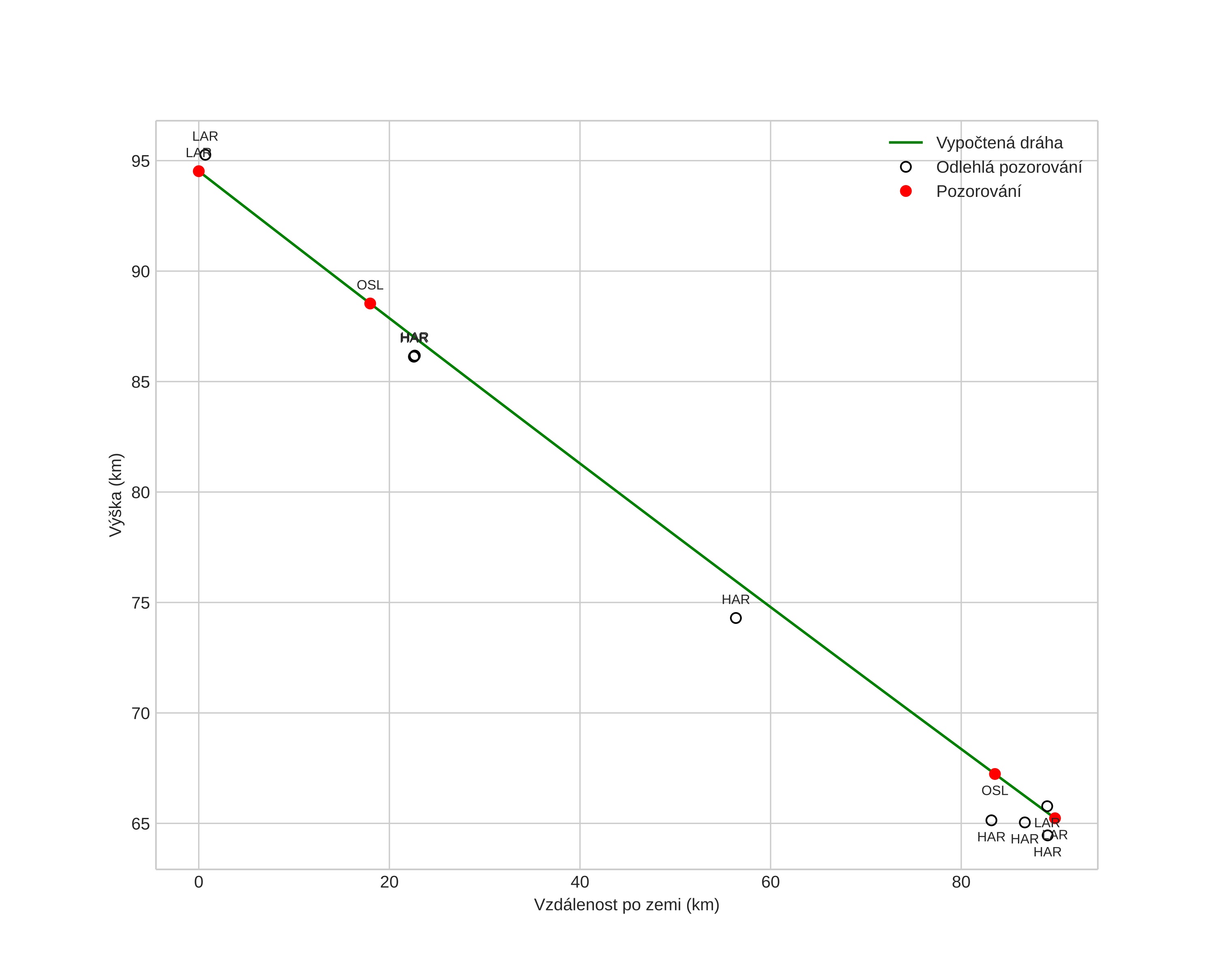
height profile
Atmosférická dráha meteoru:
Počáteční výška: 96,9 km
Konečná výška: 66,4 km
Počáteční poloha: 62,702N 9,694E
Konečná poloha: 62,507N 7,915E
Směr: 257,4°
Sklon: 18,1°
VstupnĂ­ rychlost: 28,1 km/s
Rektascenze radiantu: 02:50 (42,6°)
Deklinace radiantu: 18,7°
MeteorickĂ˝ roj: SevernĂ­ Tauridy
Elementy dráhy meteoroidu:
Vzdálenost v periheliu: 0,503 AU
Excentricita: 0,843
Sklon dráhy: 2,0°
Délka vzestupného uzlu: 223,1°
Argument perihelia: 274,4°
Střední anomálie: 352,7°
Epocha: 2021 NOV 05 16:54:49
orbit plot

NeinteraktivnĂ­ graf | InteraktivnĂ­ graf

position vs time
speed and acceleration