🇳🇴 🇬🇧 🇩🇪 🇨🇿 🇫🇮

Meteor Åndalsnesin yllä 2021-11-05 16:54:49 UTC

KML-tiedosto  |  Interaktiivinen kartta

Kartta näyttää meteorin suuntahavainnot. Vaaleammat viivat näyttävät suunnat havaintoasemilta meteorin ilmestyessä, ja tummemmat viivat näyttävät, missä se viimeksi nähtiin. Sininen nuoli näyttää meteorin näkyvän lennon.

static map
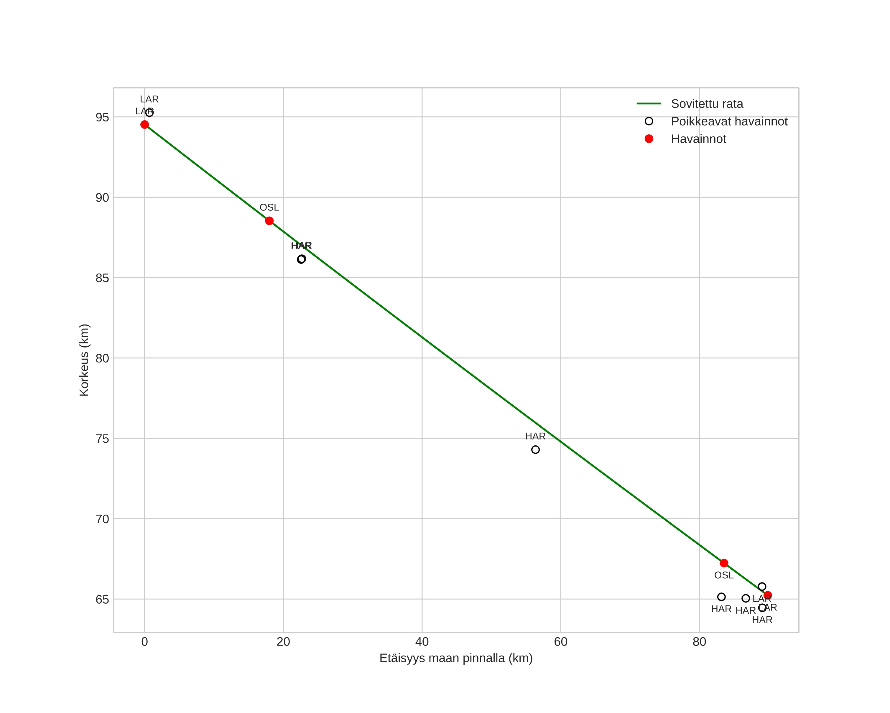
height profile
Meteorin ilmakehärata:
Alkukorkeus: 96,9 km
Loppukorkeus: 66,4 km
Alkupiste: 62,702N 9,694E
Loppupiste: 62,507N 7,915E
Suunta: 257,4°
Kallistuskulma: 18,1°
Tulonopeus: 28,1 km/s
Radiantin R,A,: 02:50 (42,6°)
Radiantin Dekl,: 18,7°
Meteoriparvi: Pohjoiset tauridit
Meteoroidin rataelementit:
Perihelietäisyys: 0,503 AU
Eksentrisyys: 0,843
Inklinaatio: 2,0°
Nousevan solmun pituus: 223,1°
Perihelin argumentti: 274,4°
Keskianomalia: 352,7°
Epookki: 2021 NOV 05 16:54:49
orbit plot

Ei-interaktiivinen kuvaaja | Interaktiivinen kuvaaja

position vs time
speed and acceleration