🇳🇴 🇬🇧 🇩🇪 🇨🇿 🇫🇮

Meteor, poloha: Sveg 2021-11-05 23:01:54 UTC

Soubor KML  |  InteraktivnĂ­ mapa

Mapa zobrazuje dráhy meteoru. Světlejší čáry ukazují směry od pozorovacích stanic při objevení se meteoru a tmavší čáry, kde byl naposledy viděn. Modrá šipka značí viditelnou dráhu meteoru.

static map
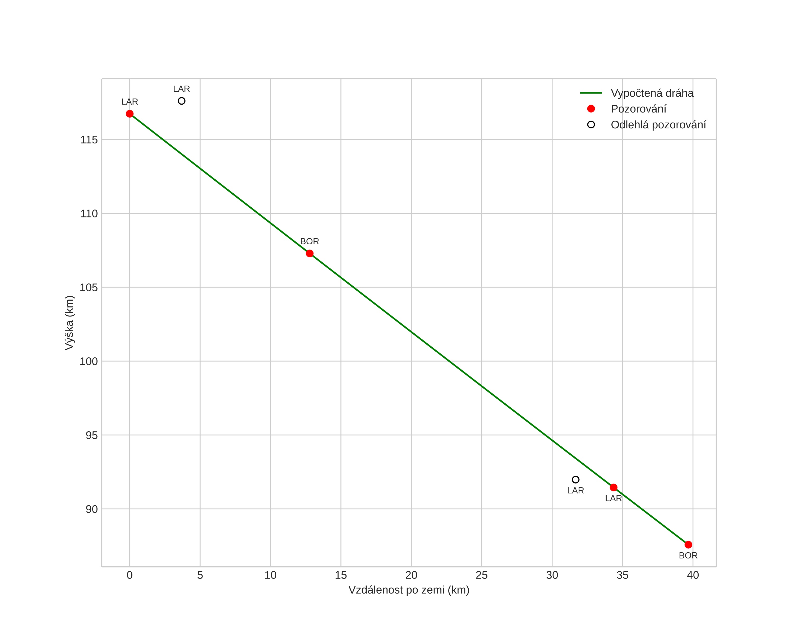
height profile
Atmosférická dráha meteoru:
Počáteční výška: 117,6 km
Konečná výška: 86,5 km
Počáteční poloha: 61,886N 15,424E
Konečná poloha: 61,685N 14,738E
Směr: 238,6°
Sklon: 36,3°
VstupnĂ­ rychlost: 67,3 km/s
Rektascenze radiantu: 09:34 (143,7°)
Deklinace radiantu: 45,9°
MeteorickĂ˝ roj: sporadickĂ˝
Elementy dráhy meteoroidu:
Vzdálenost v periheliu: 0,984 AU
Excentricita: 1,055
Sklon dráhy: 129,9°
Délka vzestupného uzlu: 223,5°
Argument perihelia: 189,6°
Střední anomálie: -0,1°
Epocha: 2021 NOV 05 23:01:54
orbit plot

NeinteraktivnĂ­ graf | InteraktivnĂ­ graf

position vs time
speed and acceleration