🇳🇴 🇬🇧 🇩🇪 🇨🇿 🇫🇮

Meteor Svegin yllä 2021-11-05 23:01:54 UTC

KML-tiedosto  |  Interaktiivinen kartta

Kartta näyttää meteorin suuntahavainnot. Vaaleammat viivat näyttävät suunnat havaintoasemilta meteorin ilmestyessä, ja tummemmat viivat näyttävät, missä se viimeksi nähtiin. Sininen nuoli näyttää meteorin näkyvän lennon.

static map
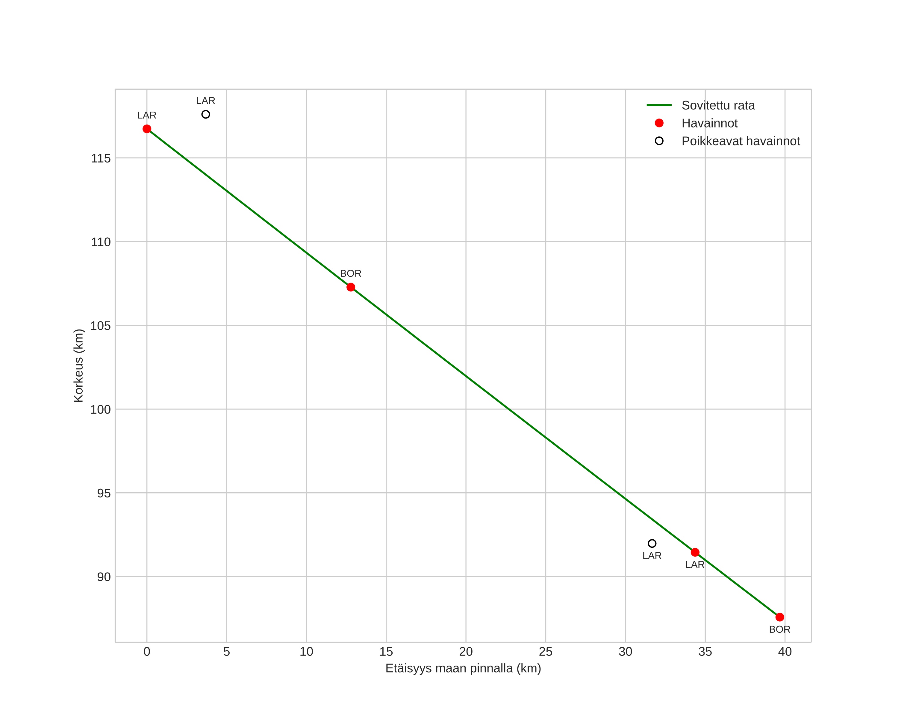
height profile
Meteorin ilmakehärata:
Alkukorkeus: 117,6 km
Loppukorkeus: 86,5 km
Alkupiste: 61,886N 15,424E
Loppupiste: 61,685N 14,738E
Suunta: 238,6°
Kallistuskulma: 36,3°
Tulonopeus: 67,3 km/s
Radiantin R,A,: 09:34 (143,7°)
Radiantin Dekl,: 45,9°
Meteoriparvi: Sporadinen
Meteoroidin rataelementit:
Perihelietäisyys: 0,984 AU
Eksentrisyys: 1,055
Inklinaatio: 129,9°
Nousevan solmun pituus: 223,5°
Perihelin argumentti: 189,6°
Keskianomalia: -0,1°
Epookki: 2021 NOV 05 23:01:54
orbit plot

Ei-interaktiivinen kuvaaja | Interaktiivinen kuvaaja

position vs time
speed and acceleration