🇳🇴 🇬🇧 🇩🇪 🇨🇿 🇫🇮

Meteor, poloha: Steinsdalen 2021-11-07 03:25:07 UTC

Soubor KML  |  InteraktivnĂ­ mapa

Mapa zobrazuje dráhy meteoru. Světlejší čáry ukazují směry od pozorovacích stanic při objevení se meteoru a tmavší čáry, kde byl naposledy viděn. Modrá šipka značí viditelnou dráhu meteoru.

static map
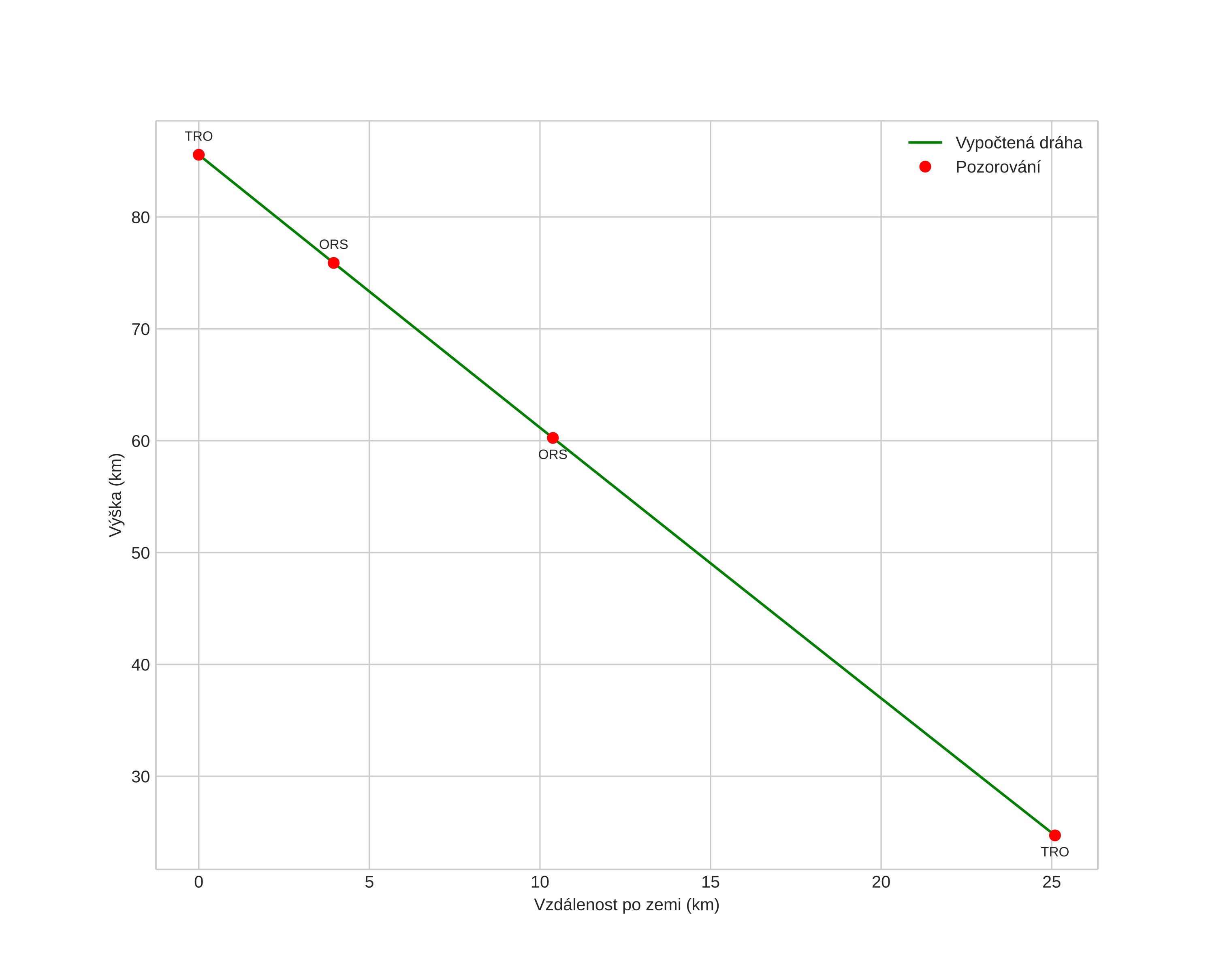
height profile
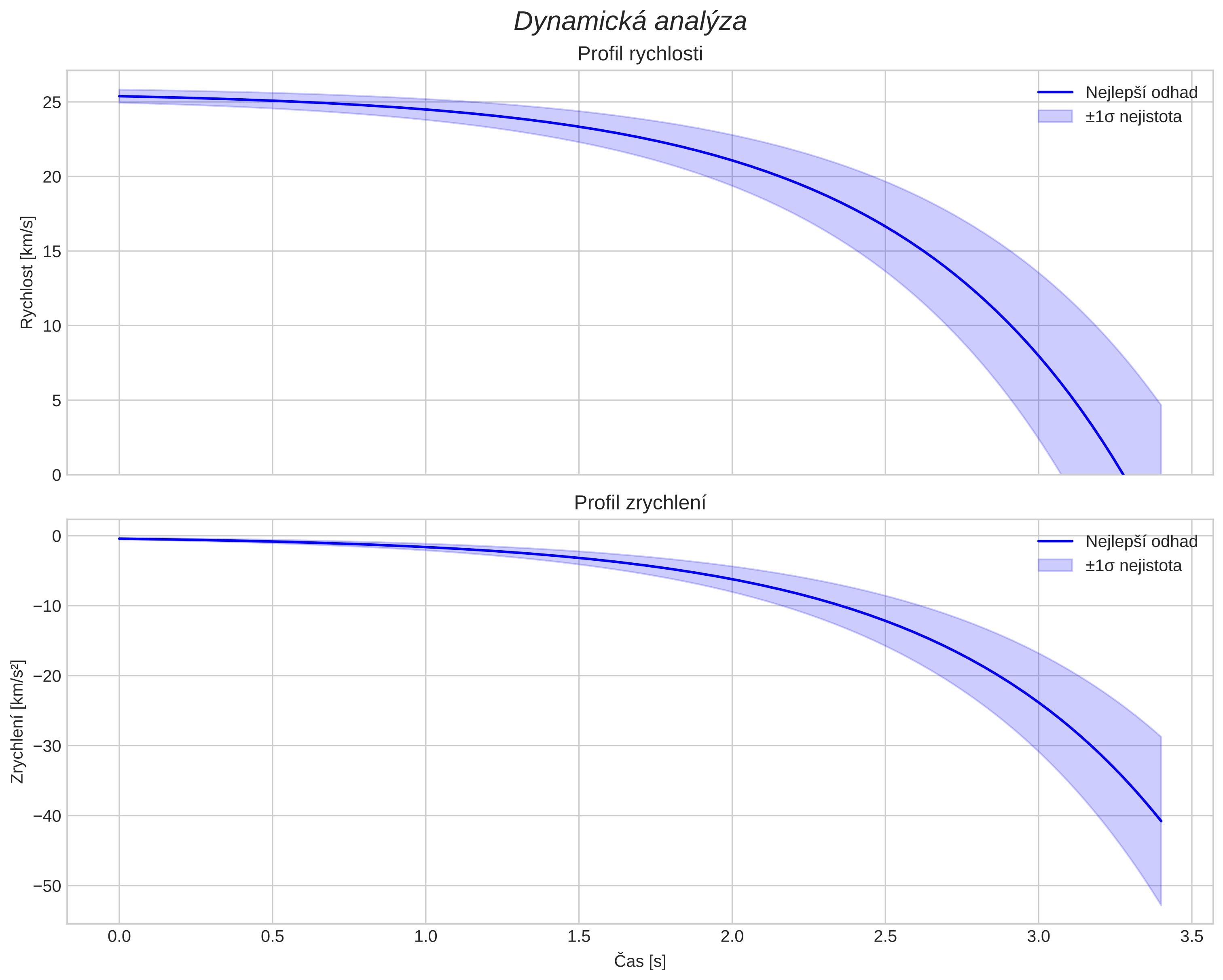
Atmosférická dráha meteoru:
Počáteční výška: 84,9 km
Konečná výška: 25,7 km
Počáteční poloha: 64,619N 9,653E
Konečná poloha: 64,612N 10,199E
Směr: 91,4°
Sklon: 66,3°
VstupnĂ­ rychlost: 24,7 km/s
Rektascenze radiantu: 03:53 (58,4°)
Deklinace radiantu: 54,9°
MeteorickĂ˝ roj: sporadickĂ˝
Elementy dráhy meteoroidu:
Vzdálenost v periheliu: 0,468 AU
Excentricita: 0,560
Sklon dráhy: 28,6°
Délka vzestupného uzlu: 224,6°
Argument perihelia: 298,0°
Střední anomálie: 309,0°
Epocha: 2021 NOV 07 03:25:07
orbit plot

NeinteraktivnĂ­ graf | InteraktivnĂ­ graf

position vs time
speed and acceleration