🇳🇴 🇬🇧 🇩🇪 🇨🇿 🇫🇮

Meteor Steinsdalenin yllä 2021-11-07 03:25:07 UTC

KML-tiedosto  |  Interaktiivinen kartta

Kartta näyttää meteorin suuntahavainnot. Vaaleammat viivat näyttävät suunnat havaintoasemilta meteorin ilmestyessä, ja tummemmat viivat näyttävät, missä se viimeksi nähtiin. Sininen nuoli näyttää meteorin näkyvän lennon.

static map
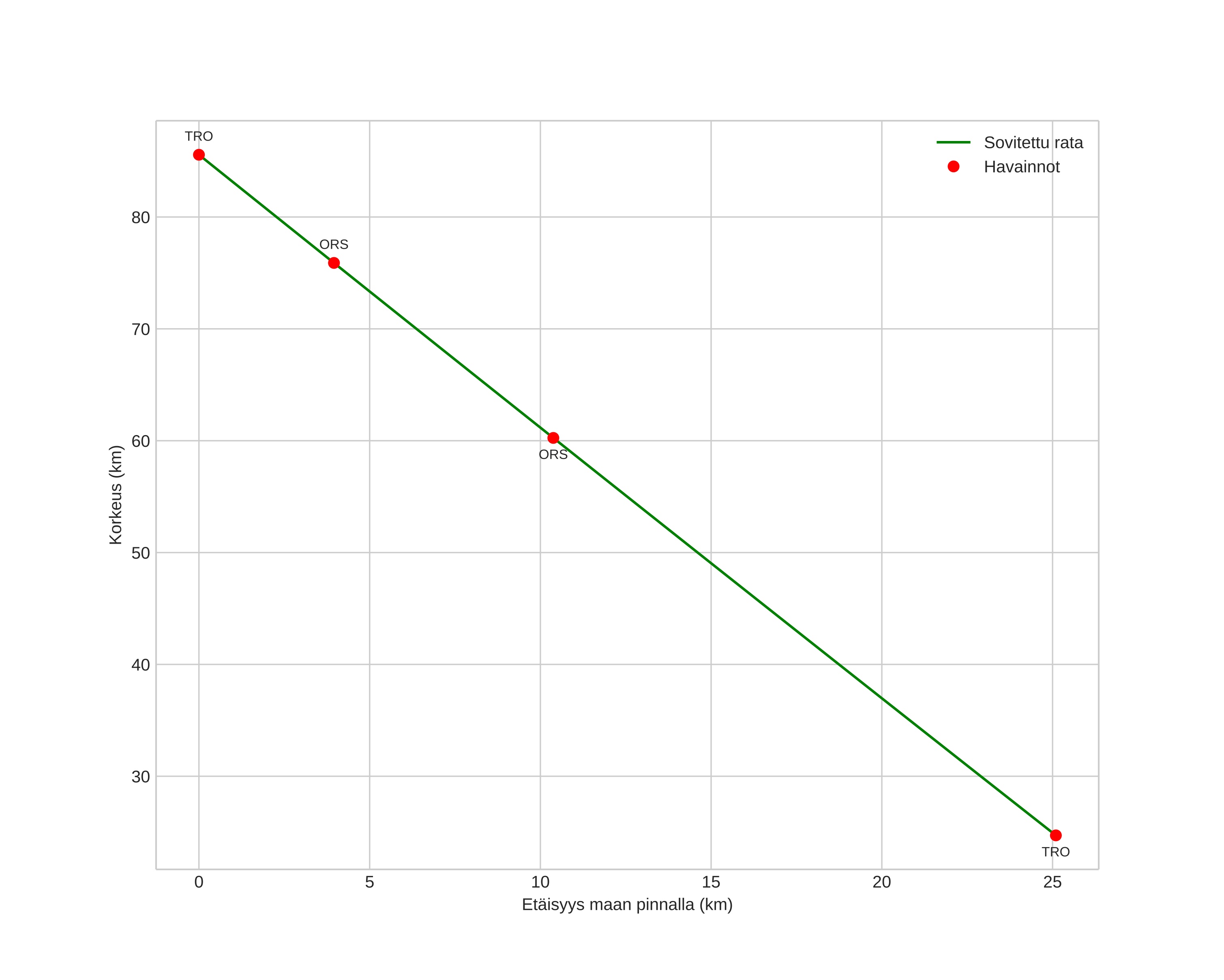
height profile
Meteorin ilmakehärata:
Alkukorkeus: 84,9 km
Loppukorkeus: 25,7 km
Alkupiste: 64,619N 9,653E
Loppupiste: 64,612N 10,199E
Suunta: 91,4°
Kallistuskulma: 66,3°
Tulonopeus: 24,7 km/s
Radiantin R,A,: 03:53 (58,4°)
Radiantin Dekl,: 54,9°
Meteoriparvi: Sporadinen
Meteoroidin rataelementit:
Perihelietäisyys: 0,468 AU
Eksentrisyys: 0,560
Inklinaatio: 28,6°
Nousevan solmun pituus: 224,6°
Perihelin argumentti: 298,0°
Keskianomalia: 309,0°
Epookki: 2021 NOV 07 03:25:07
orbit plot

Ei-interaktiivinen kuvaaja | Interaktiivinen kuvaaja

position vs time
speed and acceleration

Trondheim (TRO) cam2


gnomonic
Videot:
• Gnomoninen
• Gnomoninen koordinaateilla
• Alkuperäinen
• Alkuperäinen koordinaateilla
Kuvat:
• Gnomoninen
• Gnomoninen koordinaateilla
• Gnomoninen merkinnöillä
• Alkuperäinen
• Alkuperäinen koordinaateilla
• Alkuperäinen maskilla
Tekstitiedostot:
• Havaintoraportti
• Observaatio
• Koordinaatit
• Virheilmoitukset
• Loki
Kirkkaus