🇳🇴 🇬🇧 🇩🇪 🇨🇿 🇫🇮

Meteor, poloha: Skagen 2021-11-07 21:17:11 UTC

Soubor KML  |  InteraktivnĂ­ mapa

Mapa zobrazuje dráhy meteoru. Světlejší čáry ukazují směry od pozorovacích stanic při objevení se meteoru a tmavší čáry, kde byl naposledy viděn. Modrá šipka značí viditelnou dráhu meteoru.

static map
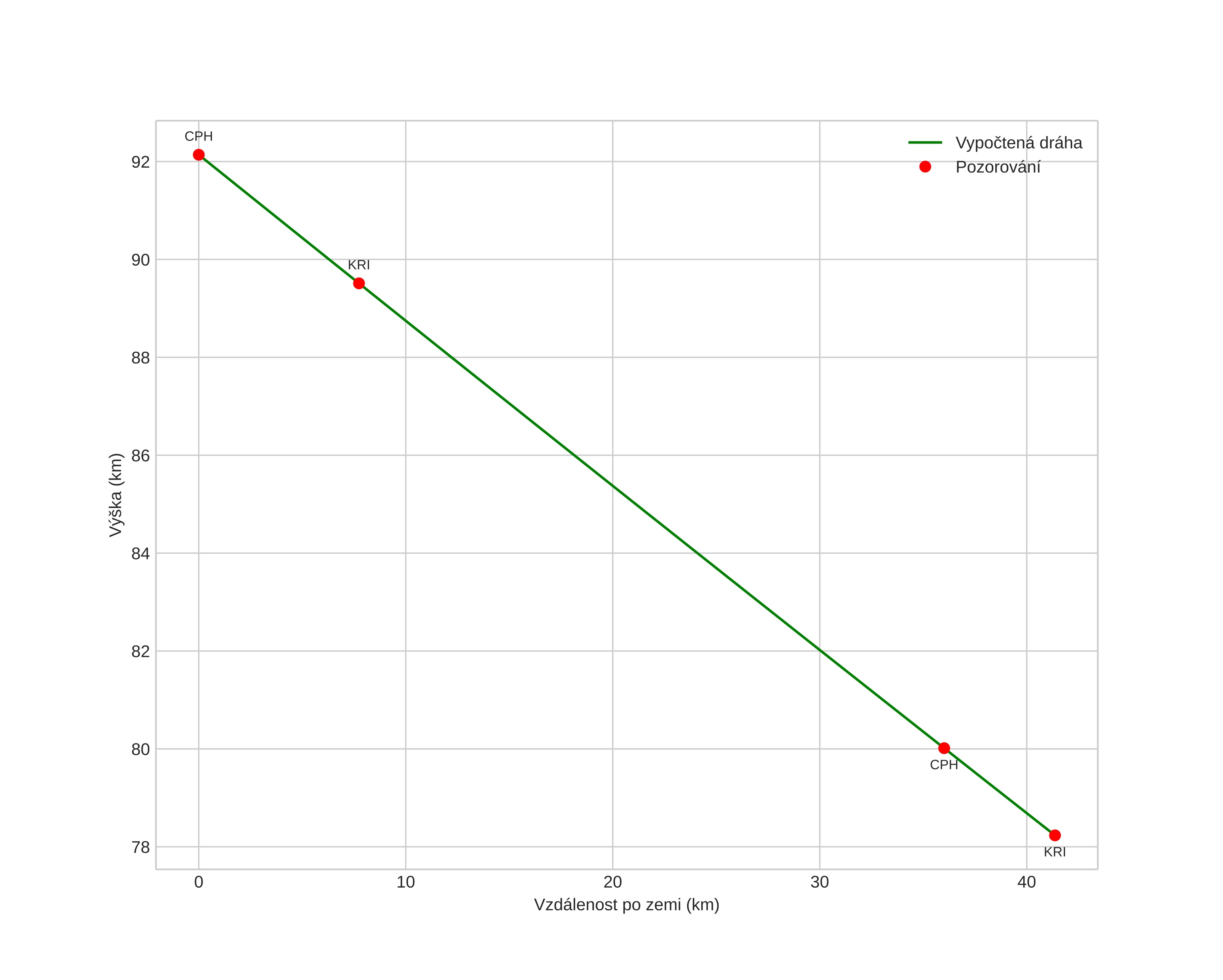
height profile
Atmosférická dráha meteoru:
Počáteční výška: 92,0 km
Konečná výška: 77,9 km
Počáteční poloha: 57,248N 11,172E
Konečná poloha: 57,599N 10,851E
Směr: 333,9°
Sklon: 18,0°
VstupnĂ­ rychlost: 24,1 km/s
Rektascenze radiantu: 02:53 (43,4°)
Deklinace radiantu: -16,7°
MeteorickĂ˝ roj: sporadickĂ˝
Elementy dráhy meteoroidu:
Vzdálenost v periheliu: 0,755 AU
Excentricita: 0,806
Sklon dráhy: 18,5°
Délka vzestupného uzlu: 45,4°
Argument perihelia: 62,2°
Střední anomálie: 355,2°
Epocha: 2021 NOV 07 21:17:11
orbit plot

NeinteraktivnĂ­ graf | InteraktivnĂ­ graf

position vs time
speed and acceleration