🇳🇴 🇬🇧 🇩🇪 🇨🇿 🇫🇮

Meteor Skagenin yllä 2021-11-07 21:17:11 UTC

KML-tiedosto  |  Interaktiivinen kartta

Kartta näyttää meteorin suuntahavainnot. Vaaleammat viivat näyttävät suunnat havaintoasemilta meteorin ilmestyessä, ja tummemmat viivat näyttävät, missä se viimeksi nähtiin. Sininen nuoli näyttää meteorin näkyvän lennon.

static map
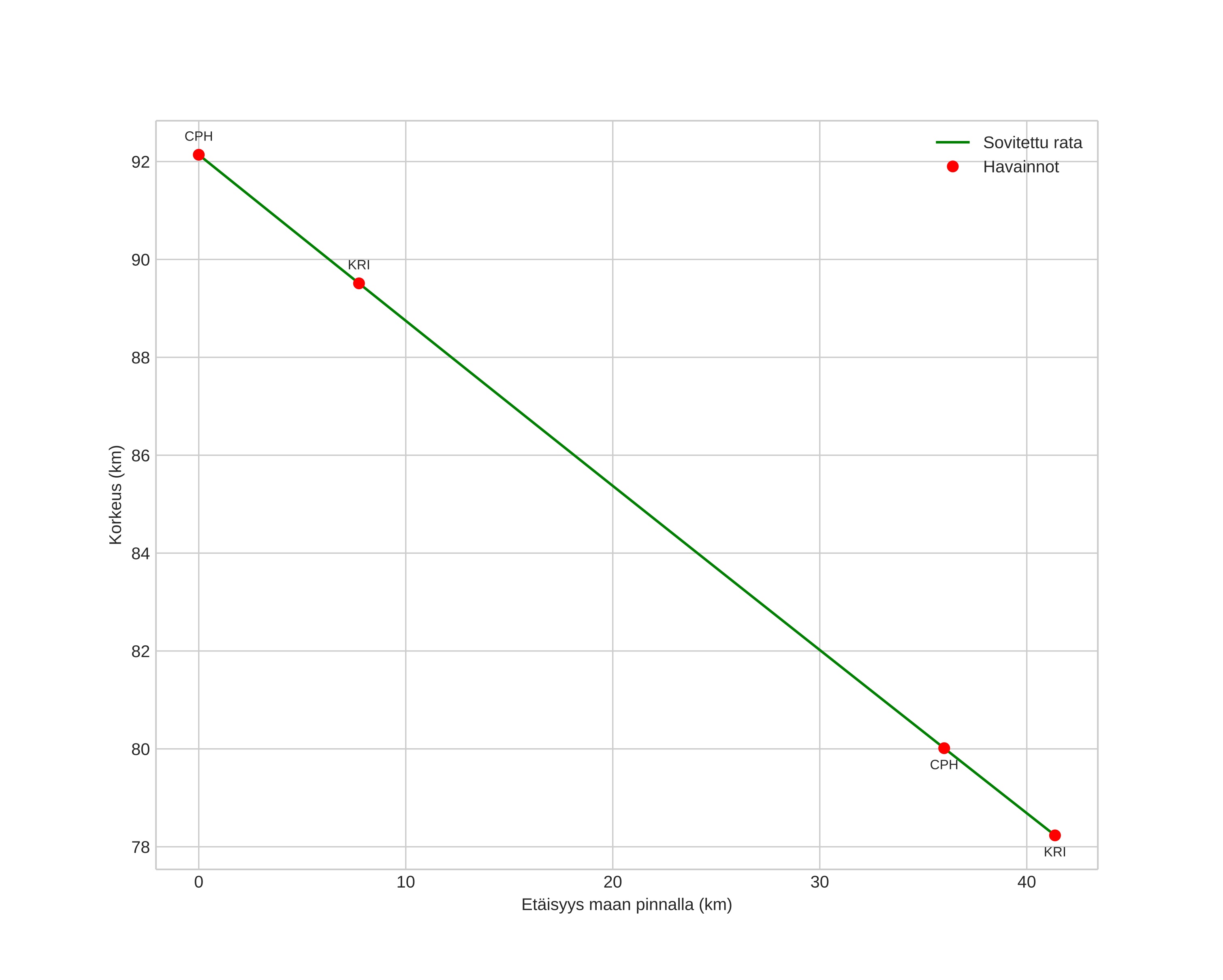
height profile
Meteorin ilmakehärata:
Alkukorkeus: 92,0 km
Loppukorkeus: 77,9 km
Alkupiste: 57,248N 11,172E
Loppupiste: 57,599N 10,851E
Suunta: 333,9°
Kallistuskulma: 18,0°
Tulonopeus: 24,1 km/s
Radiantin R,A,: 02:53 (43,4°)
Radiantin Dekl,: -16,7°
Meteoriparvi: Sporadinen
Meteoroidin rataelementit:
Perihelietäisyys: 0,755 AU
Eksentrisyys: 0,806
Inklinaatio: 18,5°
Nousevan solmun pituus: 45,4°
Perihelin argumentti: 62,2°
Keskianomalia: 355,2°
Epookki: 2021 NOV 07 21:17:11
orbit plot

Ei-interaktiivinen kuvaaja | Interaktiivinen kuvaaja

position vs time
speed and acceleration