🇳🇴 🇬🇧 🇩🇪 🇨🇿 🇫🇮

Meteor, poloha: Koppang 2021-11-10 17:55:19 UTC

Soubor KML  |  InteraktivnĂ­ mapa

Mapa zobrazuje dráhy meteoru. Světlejší čáry ukazují směry od pozorovacích stanic při objevení se meteoru a tmavší čáry, kde byl naposledy viděn. Modrá šipka značí viditelnou dráhu meteoru.

static map
height profile
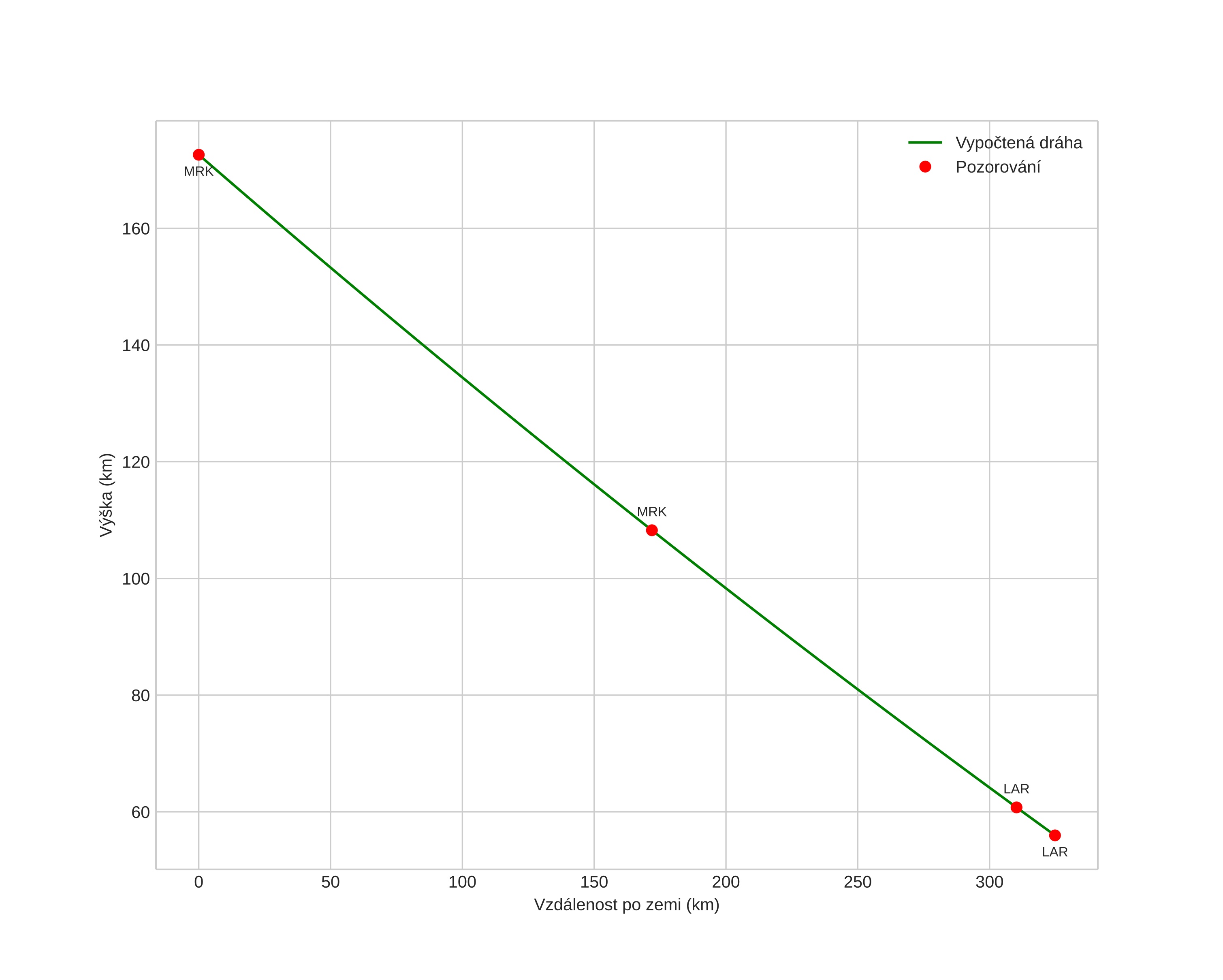
Atmosférická dráha meteoru:
Počáteční výška: 174,7 km
Konečná výška: 56,7 km
Počáteční poloha: 60,101N 16,406E
Konečná poloha: 61,480N 11,092E
Směr: 300,3°
Sklon: 19,9°
VstupnĂ­ rychlost: 19,5 km/s
Rektascenze radiantu: 02:09 (32,4°)
Deklinace radiantu: -3,8°
MeteorickĂ˝ roj: sporadickĂ˝
Elementy dráhy meteoroidu:
Vzdálenost v periheliu: 0,811 AU
Excentricita: 0,710
Sklon dráhy: 7,0°
Délka vzestupného uzlu: 48,3°
Argument perihelia: 55,6°
Střední anomálie: 352,4°
Epocha: 2021 NOV 10 17:55:19
orbit plot

NeinteraktivnĂ­ graf | InteraktivnĂ­ graf

position vs time
speed and acceleration