🇳🇴 🇬🇧 🇩🇪 🇨🇿 🇫🇮

Meteor Koppangin yllä 2021-11-10 17:55:19 UTC

KML-tiedosto  |  Interaktiivinen kartta

Kartta näyttää meteorin suuntahavainnot. Vaaleammat viivat näyttävät suunnat havaintoasemilta meteorin ilmestyessä, ja tummemmat viivat näyttävät, missä se viimeksi nähtiin. Sininen nuoli näyttää meteorin näkyvän lennon.

static map
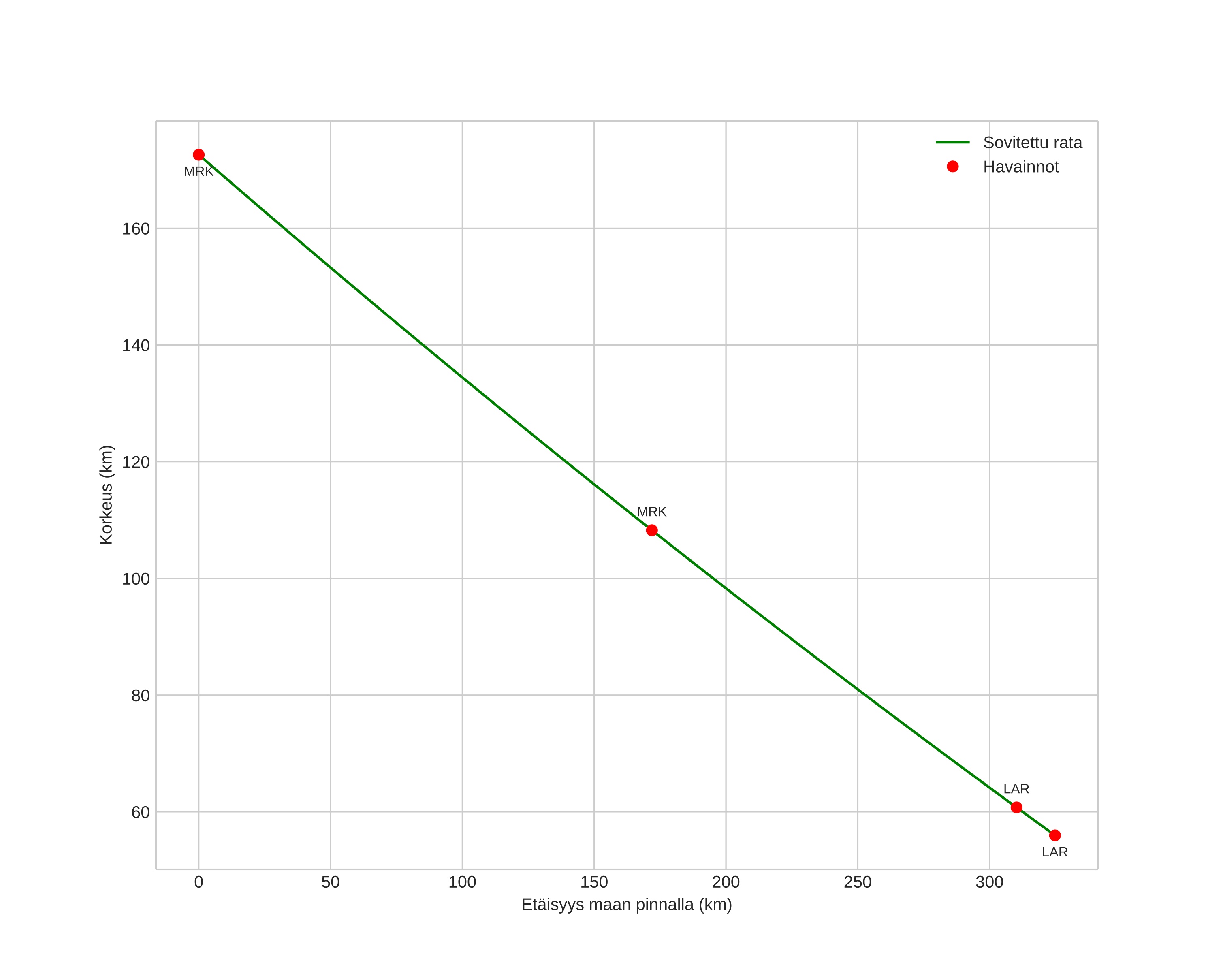
height profile
Meteorin ilmakehärata:
Alkukorkeus: 174,7 km
Loppukorkeus: 56,7 km
Alkupiste: 60,101N 16,406E
Loppupiste: 61,480N 11,092E
Suunta: 300,3°
Kallistuskulma: 19,9°
Tulonopeus: 19,5 km/s
Radiantin R,A,: 02:09 (32,4°)
Radiantin Dekl,: -3,8°
Meteoriparvi: Sporadinen
Meteoroidin rataelementit:
Perihelietäisyys: 0,811 AU
Eksentrisyys: 0,710
Inklinaatio: 7,0°
Nousevan solmun pituus: 48,3°
Perihelin argumentti: 55,6°
Keskianomalia: 352,4°
Epookki: 2021 NOV 10 17:55:19
orbit plot

Ei-interaktiivinen kuvaaja | Interaktiivinen kuvaaja

position vs time
speed and acceleration