🇳🇴 🇬🇧 🇩🇪 🇨🇿 🇫🇮

Meteor, poloha: Storslett 2021-11-11 16:15:26 UTC

Soubor KML  |  InteraktivnĂ­ mapa

Mapa zobrazuje dráhy meteoru. Světlejší čáry ukazují směry od pozorovacích stanic při objevení se meteoru a tmavší čáry, kde byl naposledy viděn. Modrá šipka značí viditelnou dráhu meteoru.

static map
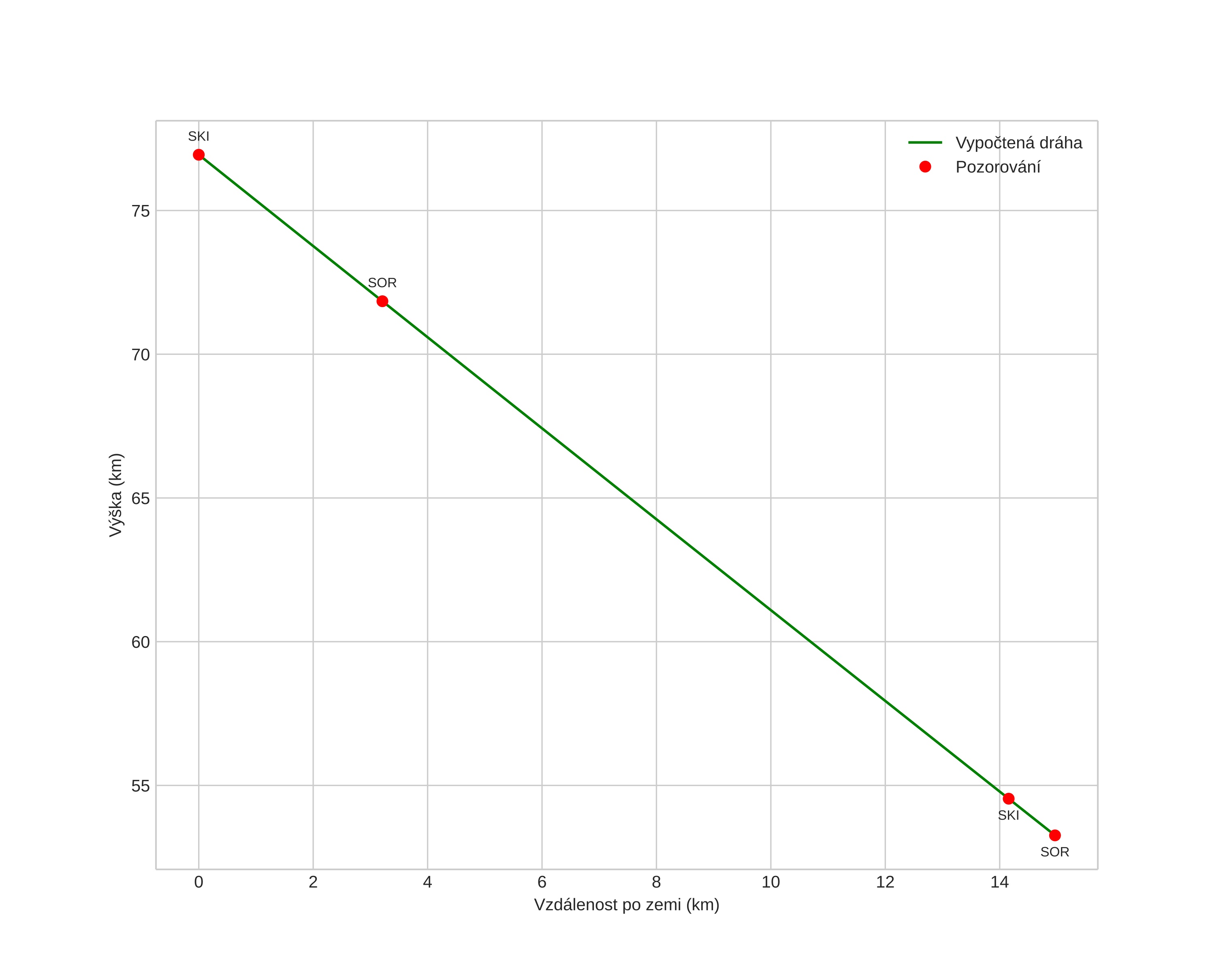
height profile
Atmosférická dráha meteoru:
Počáteční výška: 76,9 km
Konečná výška: 53,3 km
Počáteční poloha: 68,720N 21,476E
Konečná poloha: 68,694N 21,112E
Směr: 259,0°
Sklon: 57,6°
VstupnĂ­ rychlost: 20,8 km/s
Rektascenze radiantu: 01:46 (26,6°)
Deklinace radiantu: 53,5°
MeteorickĂ˝ roj: sporadickĂ˝
Elementy dráhy meteoroidu:
Vzdálenost v periheliu: 0,763 AU
Excentricita: 0,539
Sklon dráhy: 19,7°
Délka vzestupného uzlu: 229,2°
Argument perihelia: 249,9°
Střední anomálie: 338,7°
Epocha: 2021 NOV 11 16:15:26
orbit plot

NeinteraktivnĂ­ graf | InteraktivnĂ­ graf

position vs time
speed and acceleration