🇳🇴 🇬🇧 🇩🇪 🇨🇿 🇫🇮

Meteor über Storslett 2021-11-11 16:15:26 UTC

KML-Datei  |  Interaktive Karte

Die Karte zeigt die Peilungen für den Meteor. Die helleren Linien zeigen die Richtungen von den Beobachtungsorten beim Erscheinen des Meteors, und die dunkleren Linien, wo er zuletzt gesehen wurde. Der blaue Pfeil zeigt die sichtbare Bahn des Meteors.

static map
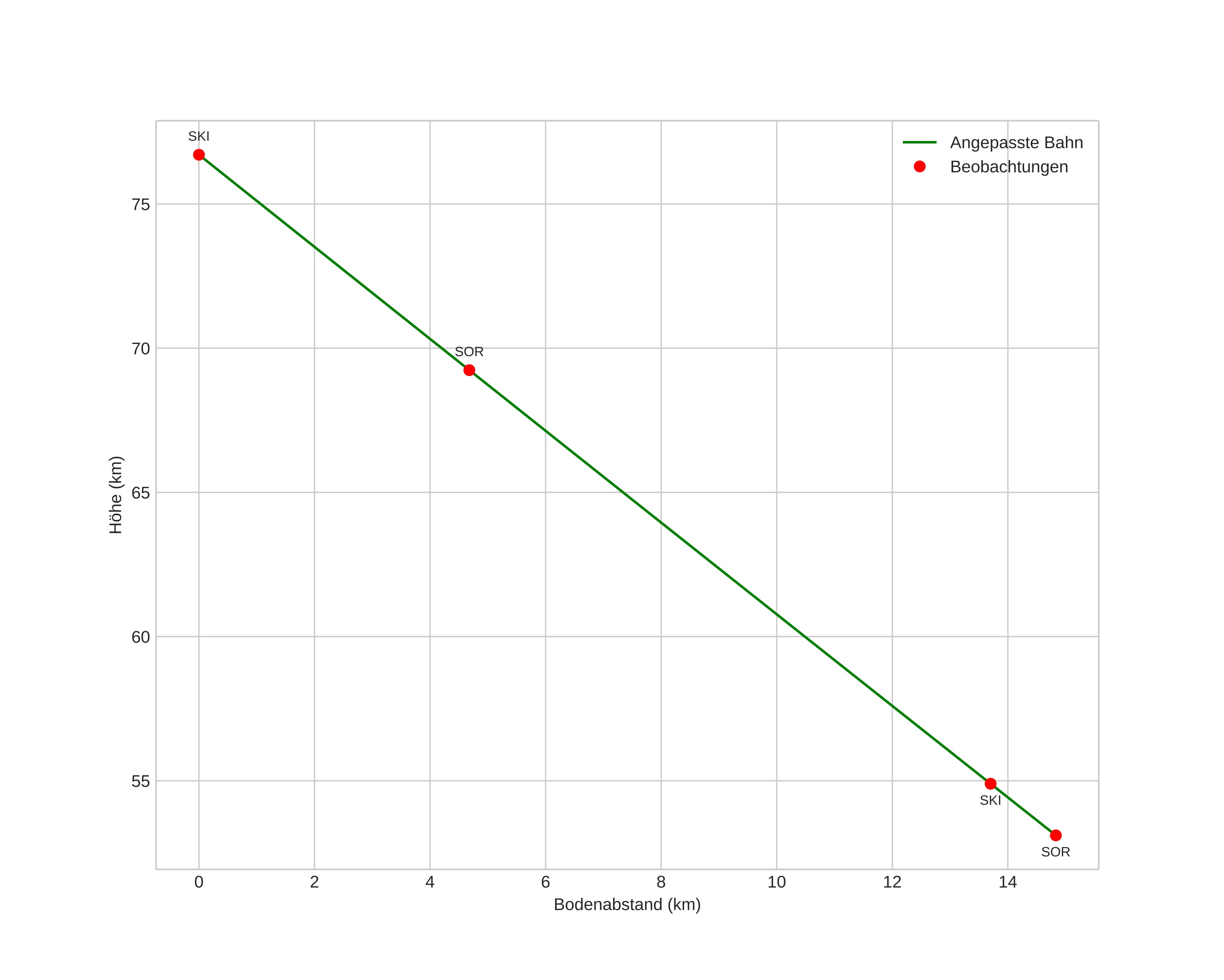
height profile
Atmosphärische Bahn des Meteors:
Anfangshöhe: 76,9 km
Endhöhe: 53,3 km
Startposition: 68,720N 21,476E
Endposition: 68,694N 21,112E
Richtung: 259,0°
Neigungswinkel: 57,6°
Eintrittsgeschwindigkeit: 20,8 km/s
Rektaszension des Radianten: 01:46 (26,6°)
Deklination des Radianten: 53,5°
Meteorstrom: sporadisch
Bahnelemente des Meteoroiden:
Periheldistanz: 0,763 AU
Exzentrizität: 0,539
Inklination: 19,7°
Länge des aufsteigenden Knotens: 229,2°
Argument des Perihels: 249,9°
Mittlere Anomalie: 338,7°
Epoche: 2021 NOV 11 16:15:26
orbit plot

Nicht-interaktives Diagramm | Interaktives Diagramm

position vs time
speed and acceleration