🇳🇴 🇬🇧 🇩🇪 🇨🇿 🇫🇮

Meteor, poloha: Kirkebygda 2021-11-11 18:51:50 UTC

Soubor KML  |  InteraktivnĂ­ mapa

Mapa zobrazuje dráhy meteoru. Světlejší čáry ukazují směry od pozorovacích stanic při objevení se meteoru a tmavší čáry, kde byl naposledy viděn. Modrá šipka značí viditelnou dráhu meteoru.

static map
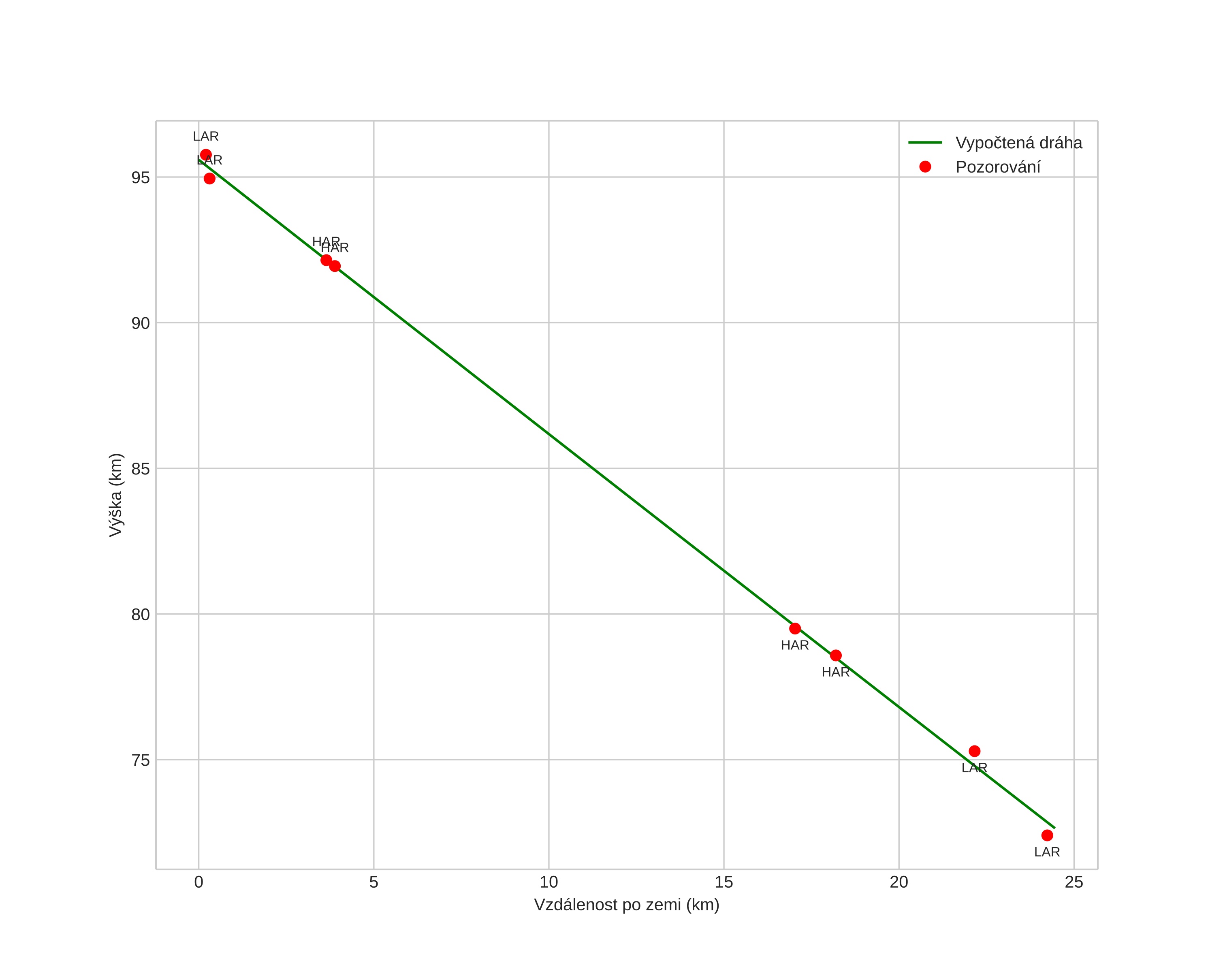
height profile
Atmosférická dráha meteoru:
Počáteční výška: 95,4 km
Konečná výška: 73,0 km
Počáteční poloha: 59,425N 11,381E
Konečná poloha: 59,508N 10,992E
Směr: 293,1°
Sklon: 43,2°
VstupnĂ­ rychlost: 22,3 km/s
Rektascenze radiantu: 02:20 (35,1°)
Deklinace radiantu: 23,3°
MeteorickĂ˝ roj: sporadickĂ˝
Elementy dráhy meteoroidu:
Vzdálenost v periheliu: 0,696 AU
Excentricita: 0,739
Sklon dráhy: 5,1°
Délka vzestupného uzlu: 229,3°
Argument perihelia: 252,5°
Střední anomálie: 350,6°
Epocha: 2021 NOV 11 18:51:50
orbit plot

NeinteraktivnĂ­ graf | InteraktivnĂ­ graf

position vs time
speed and acceleration