🇳🇴 🇬🇧 🇩🇪 🇨🇿 🇫🇮

Meteor Kirkebygdan yllä 2021-11-11 18:51:50 UTC

KML-tiedosto  |  Interaktiivinen kartta

Kartta näyttää meteorin suuntahavainnot. Vaaleammat viivat näyttävät suunnat havaintoasemilta meteorin ilmestyessä, ja tummemmat viivat näyttävät, missä se viimeksi nähtiin. Sininen nuoli näyttää meteorin näkyvän lennon.

static map
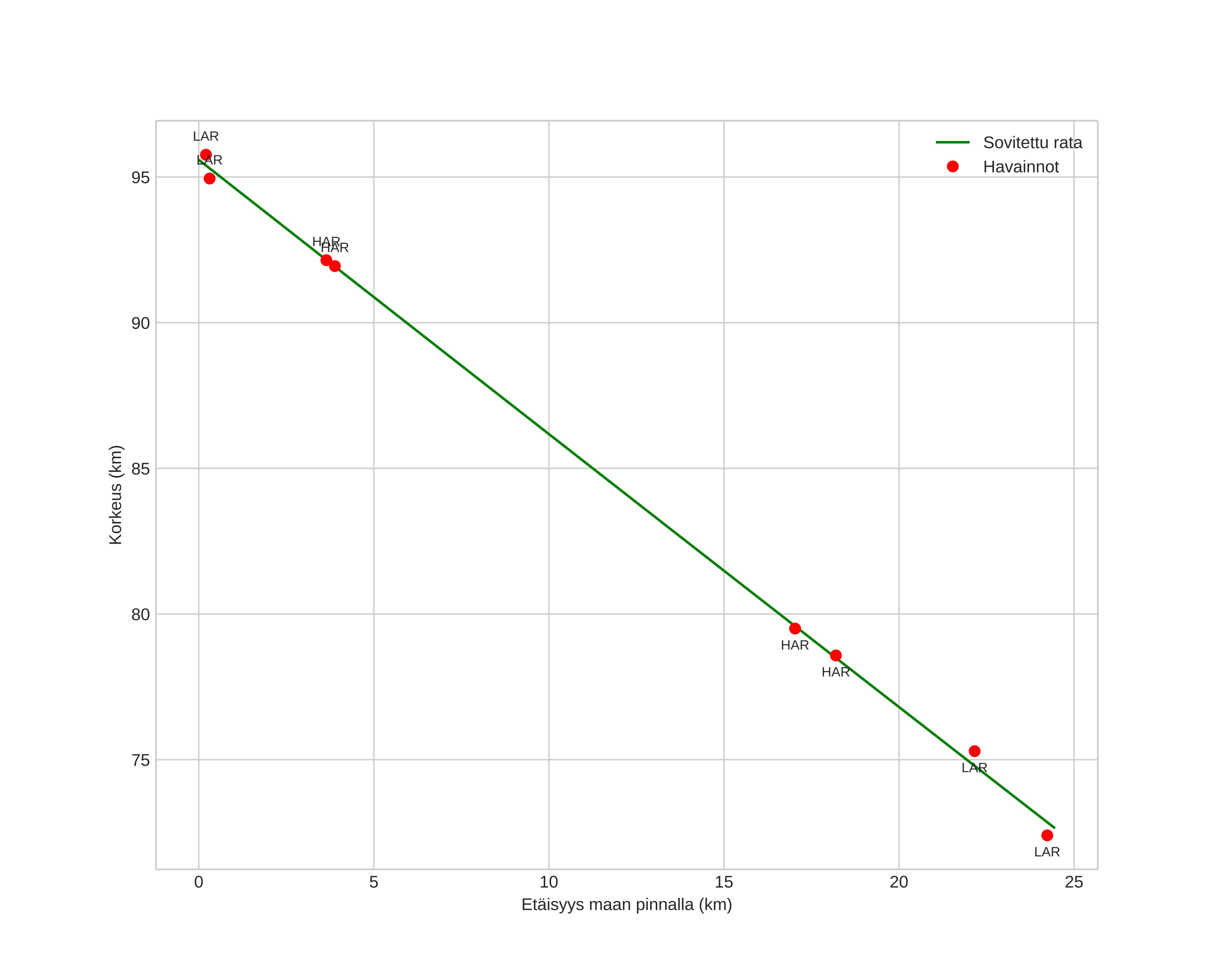
height profile
Meteorin ilmakehärata:
Alkukorkeus: 95,4 km
Loppukorkeus: 73,0 km
Alkupiste: 59,425N 11,381E
Loppupiste: 59,508N 10,992E
Suunta: 293,1°
Kallistuskulma: 43,2°
Tulonopeus: 22,3 km/s
Radiantin R,A,: 02:20 (35,1°)
Radiantin Dekl,: 23,3°
Meteoriparvi: Sporadinen
Meteoroidin rataelementit:
Perihelietäisyys: 0,696 AU
Eksentrisyys: 0,739
Inklinaatio: 5,1°
Nousevan solmun pituus: 229,3°
Perihelin argumentti: 252,5°
Keskianomalia: 350,6°
Epookki: 2021 NOV 11 18:51:50
orbit plot

Ei-interaktiivinen kuvaaja | Interaktiivinen kuvaaja

position vs time
speed and acceleration