🇳🇴 🇬🇧 🇩🇪 🇨🇿 🇫🇮

Meteor, poloha: Geilo 2021-11-13 23:06:41 UTC

Soubor KML  |  InteraktivnĂ­ mapa

Mapa zobrazuje dráhy meteoru. Světlejší čáry ukazují směry od pozorovacích stanic při objevení se meteoru a tmavší čáry, kde byl naposledy viděn. Modrá šipka značí viditelnou dráhu meteoru.

static map
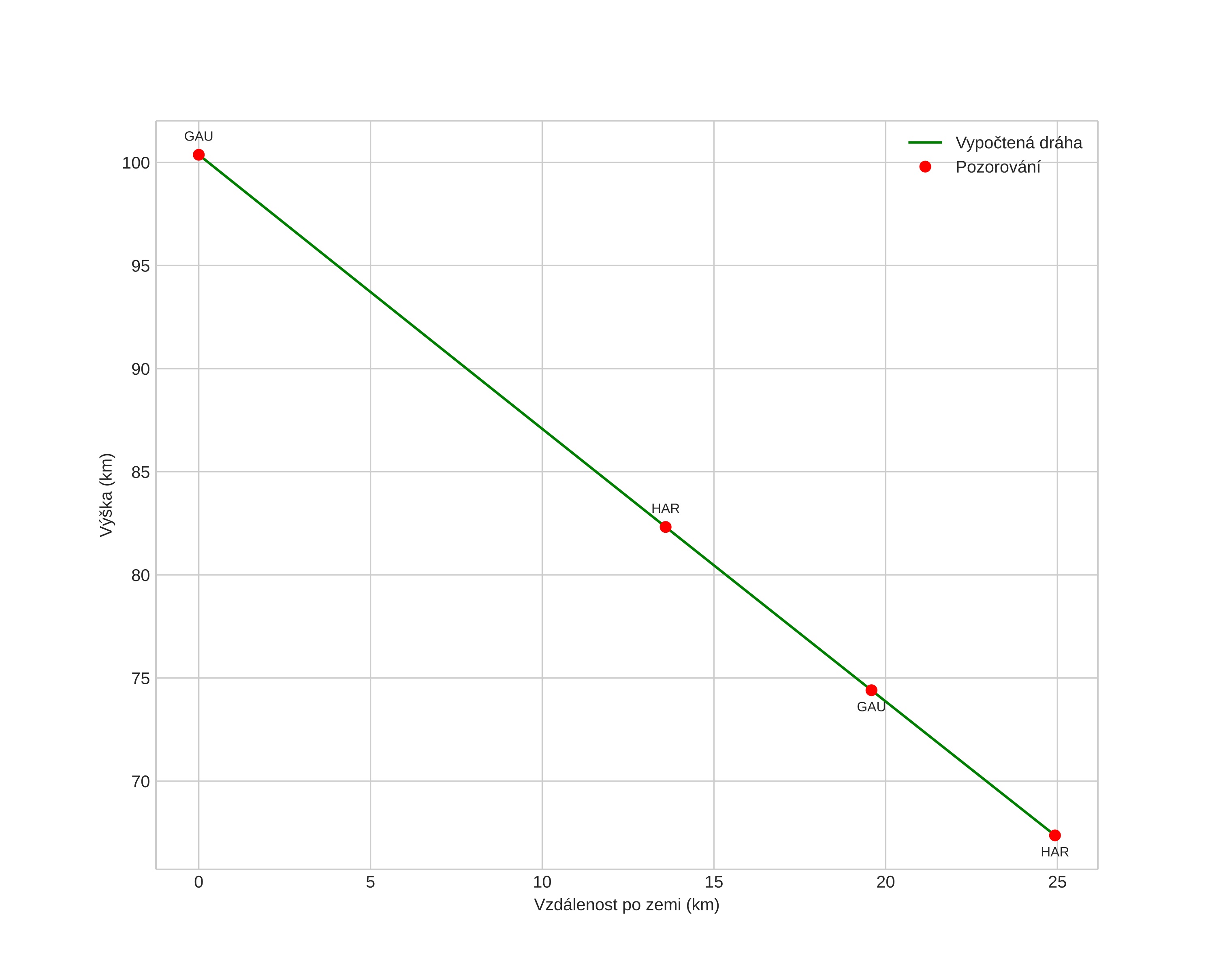
height profile
Atmosférická dráha meteoru:
Počáteční výška: 100,2 km
Konečná výška: 66,5 km
Počáteční poloha: 60,363N 7,846E
Konečná poloha: 60,577N 7,697E
Směr: 341,1°
Sklon: 53,2°
VstupnĂ­ rychlost: 29,2 km/s
Rektascenze radiantu: 03:57 (59,5°)
Deklinace radiantu: 23,0°
MeteorickĂ˝ roj: SevernĂ­ Tauridy
Elementy dráhy meteoroidu:
Vzdálenost v periheliu: 0,386 AU
Excentricita: 0,810
Sklon dráhy: 2,6°
Délka vzestupného uzlu: 231,4°
Argument perihelia: 291,3°
Střední anomálie: 345,2°
Epocha: 2021 NOV 13 23:06:41
orbit plot

NeinteraktivnĂ­ graf | InteraktivnĂ­ graf

position vs time
speed and acceleration