🇳🇴 🇬🇧 🇩🇪 🇨🇿 🇫🇮

Meteor Geilon yllä 2021-11-13 23:06:41 UTC

KML-tiedosto  |  Interaktiivinen kartta

Kartta näyttää meteorin suuntahavainnot. Vaaleammat viivat näyttävät suunnat havaintoasemilta meteorin ilmestyessä, ja tummemmat viivat näyttävät, missä se viimeksi nähtiin. Sininen nuoli näyttää meteorin näkyvän lennon.

static map
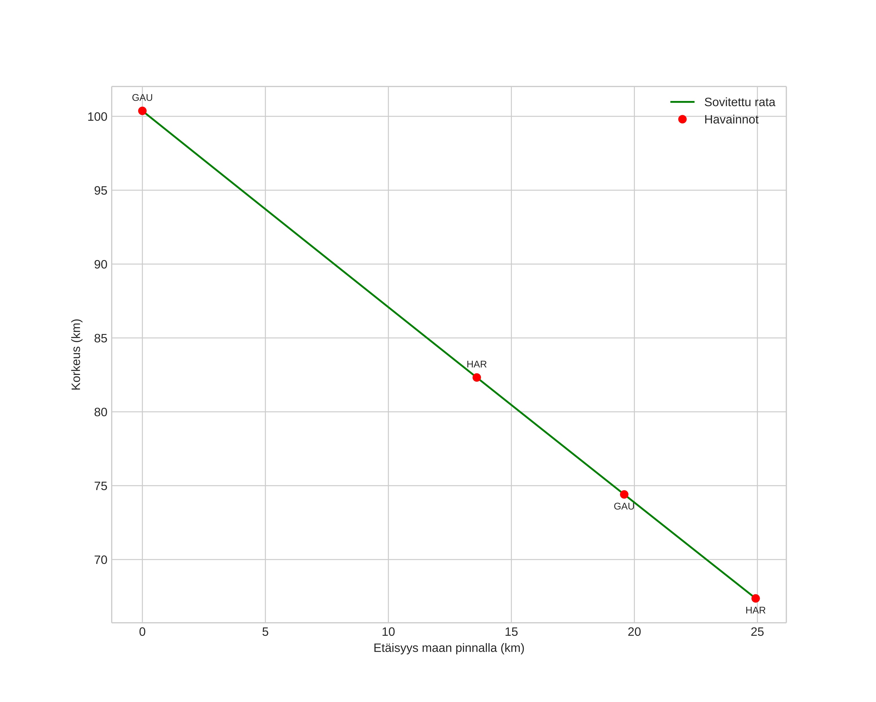
height profile
Meteorin ilmakehärata:
Alkukorkeus: 100,2 km
Loppukorkeus: 66,5 km
Alkupiste: 60,363N 7,846E
Loppupiste: 60,577N 7,697E
Suunta: 341,1°
Kallistuskulma: 53,2°
Tulonopeus: 29,2 km/s
Radiantin R,A,: 03:57 (59,5°)
Radiantin Dekl,: 23,0°
Meteoriparvi: Pohjoiset tauridit
Meteoroidin rataelementit:
Perihelietäisyys: 0,386 AU
Eksentrisyys: 0,810
Inklinaatio: 2,6°
Nousevan solmun pituus: 231,4°
Perihelin argumentti: 291,3°
Keskianomalia: 345,2°
Epookki: 2021 NOV 13 23:06:41
orbit plot

Ei-interaktiivinen kuvaaja | Interaktiivinen kuvaaja

position vs time
speed and acceleration