🇳🇴 🇬🇧 🇩🇪 🇨🇿 🇫🇮

Meteor, poloha: Burfjord 2021-11-20 15:36:10 UTC

Soubor KML  |  InteraktivnĂ­ mapa

Mapa zobrazuje dráhy meteoru. Světlejší čáry ukazují směry od pozorovacích stanic při objevení se meteoru a tmavší čáry, kde byl naposledy viděn. Modrá šipka značí viditelnou dráhu meteoru.

static map
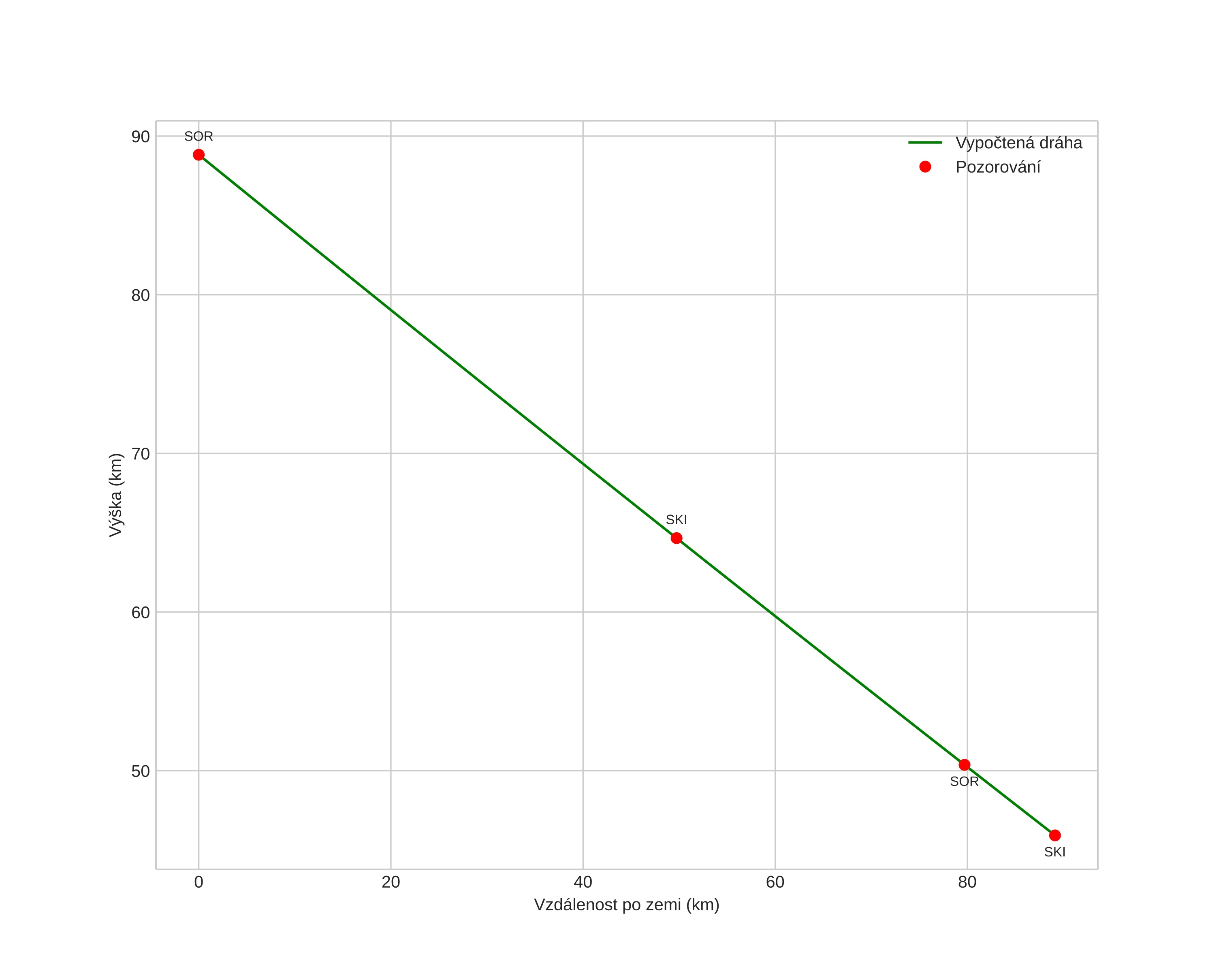
height profile
Atmosférická dráha meteoru:
Počáteční výška: 85,9 km
Konečná výška: 45,3 km
Počáteční poloha: 69,728N 24,152E
Konečná poloha: 69,652N 22,003E
Směr: 265,2°
Sklon: 26,0°
VstupnĂ­ rychlost: 21,4 km/s
Rektascenze radiantu: 02:59 (44,8°)
Deklinace radiantu: 20,8°
MeteorickĂ˝ roj: sporadickĂ˝
Elementy dráhy meteoroidu:
Vzdálenost v periheliu: 0,711 AU
Excentricita: 0,714
Sklon dráhy: 2,0°
Délka vzestupného uzlu: 238,2°
Argument perihelia: 251,0°
Střední anomálie: 349,5°
Epocha: 2021 NOV 20 15:36:10
orbit plot

NeinteraktivnĂ­ graf | InteraktivnĂ­ graf

position vs time
speed and acceleration