🇳🇴 🇬🇧 🇩🇪 🇨🇿 🇫🇮

Meteor Burfjordin yllä 2021-11-20 15:36:10 UTC

KML-tiedosto  |  Interaktiivinen kartta

Kartta näyttää meteorin suuntahavainnot. Vaaleammat viivat näyttävät suunnat havaintoasemilta meteorin ilmestyessä, ja tummemmat viivat näyttävät, missä se viimeksi nähtiin. Sininen nuoli näyttää meteorin näkyvän lennon.

static map
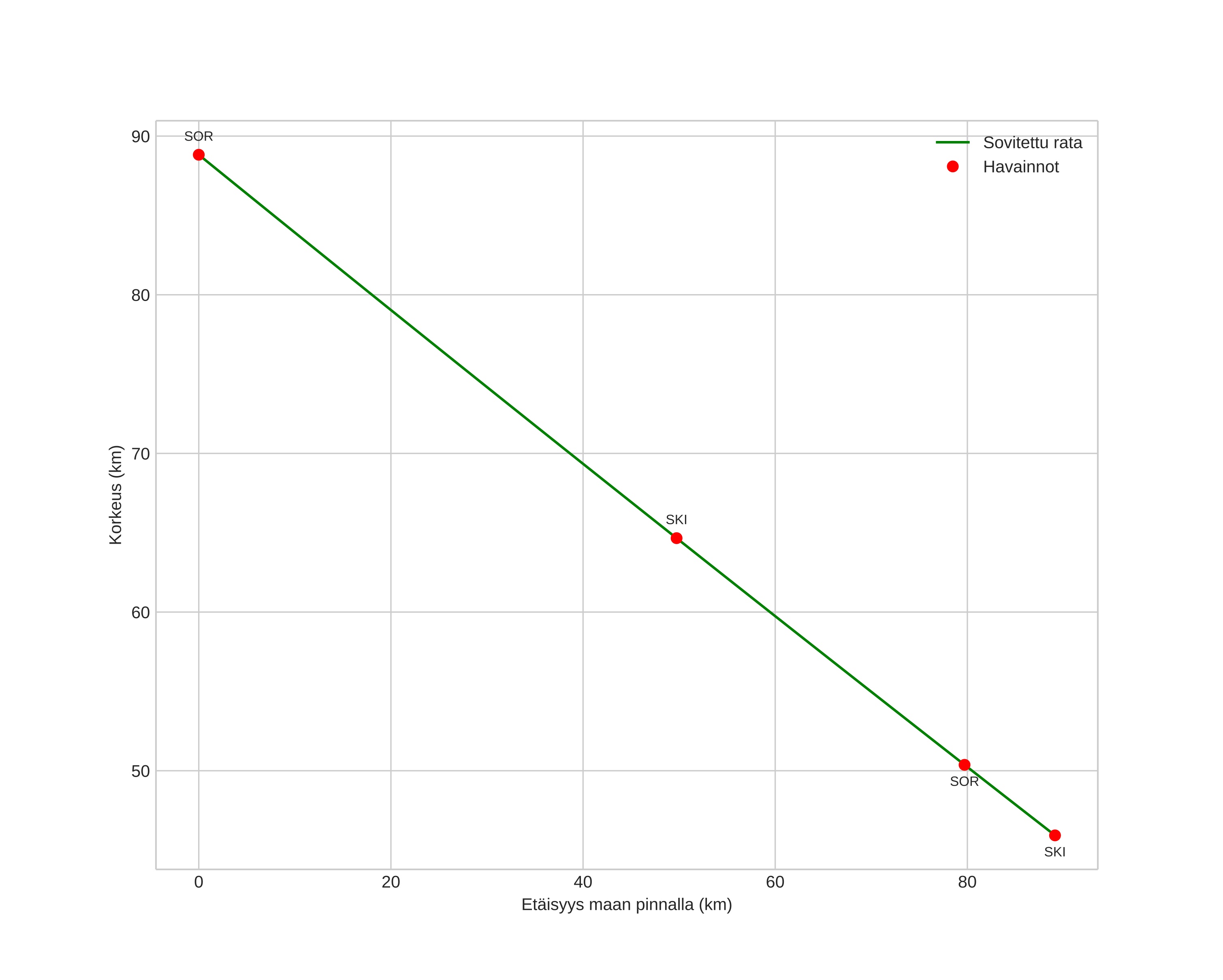
height profile
Meteorin ilmakehärata:
Alkukorkeus: 85,9 km
Loppukorkeus: 45,3 km
Alkupiste: 69,728N 24,152E
Loppupiste: 69,652N 22,003E
Suunta: 265,2°
Kallistuskulma: 26,0°
Tulonopeus: 21,4 km/s
Radiantin R,A,: 02:59 (44,8°)
Radiantin Dekl,: 20,8°
Meteoriparvi: Sporadinen
Meteoroidin rataelementit:
Perihelietäisyys: 0,711 AU
Eksentrisyys: 0,714
Inklinaatio: 2,0°
Nousevan solmun pituus: 238,2°
Perihelin argumentti: 251,0°
Keskianomalia: 349,5°
Epookki: 2021 NOV 20 15:36:10
orbit plot

Ei-interaktiivinen kuvaaja | Interaktiivinen kuvaaja

position vs time
speed and acceleration