🇳🇴 🇬🇧 🇩🇪 🇨🇿 🇫🇮

Meteor, poloha: Tjøme 2021-11-22 20:19:47 UTC

Soubor KML  |  InteraktivnĂ­ mapa

Mapa zobrazuje dráhy meteoru. Světlejší čáry ukazují směry od pozorovacích stanic při objevení se meteoru a tmavší čáry, kde byl naposledy viděn. Modrá šipka značí viditelnou dráhu meteoru.

static map
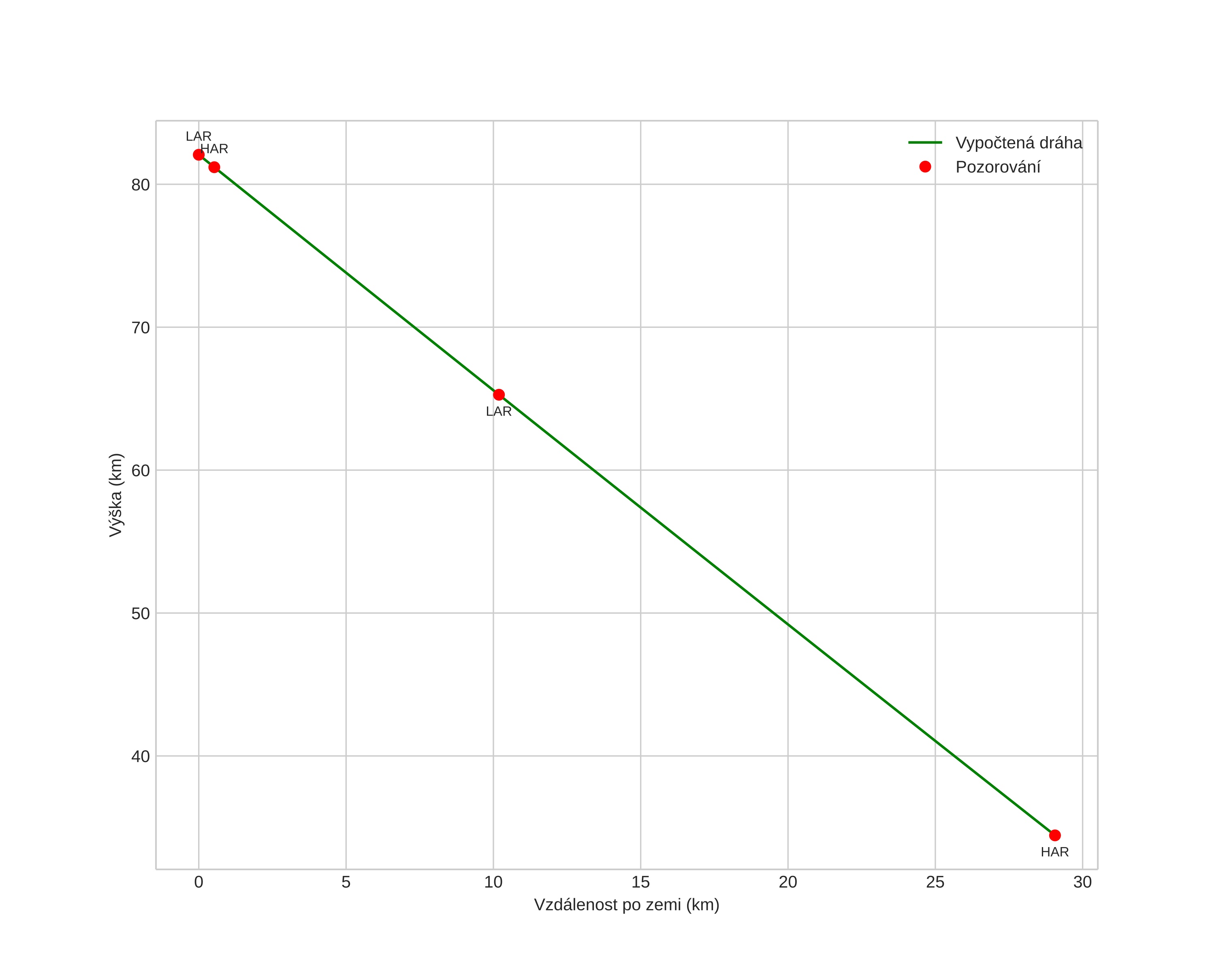
height profile
Atmosférická dráha meteoru:
Počáteční výška: 86,5 km
Konečná výška: 52,9 km
Počáteční poloha: 58,972N 10,268E
Konečná poloha: 58,794N 10,362E
Směr: 164,7°
Sklon: 58,6°
VstupnĂ­ rychlost: 29,5 km/s
Rektascenze radiantu: 18:56 (284,1°)
Deklinace radiantu: 81,3°
MeteorickĂ˝ roj: sporadickĂ˝
Elementy dráhy meteoroidu:
Vzdálenost v periheliu: 0,948 AU
Excentricita: 0,689
Sklon dráhy: 43,8°
Délka vzestupného uzlu: 240,4°
Argument perihelia: 205,5°
Střední anomálie: 356,5°
Epocha: 2021 NOV 22 20:19:47
orbit plot

NeinteraktivnĂ­ graf | InteraktivnĂ­ graf

position vs time
speed and acceleration