🇳🇴 🇬🇧 🇩🇪 🇨🇿 🇫🇮

Meteor Tjømen yllä 2021-11-22 20:19:47 UTC

KML-tiedosto  |  Interaktiivinen kartta

Kartta näyttää meteorin suuntahavainnot. Vaaleammat viivat näyttävät suunnat havaintoasemilta meteorin ilmestyessä, ja tummemmat viivat näyttävät, missä se viimeksi nähtiin. Sininen nuoli näyttää meteorin näkyvän lennon.

static map
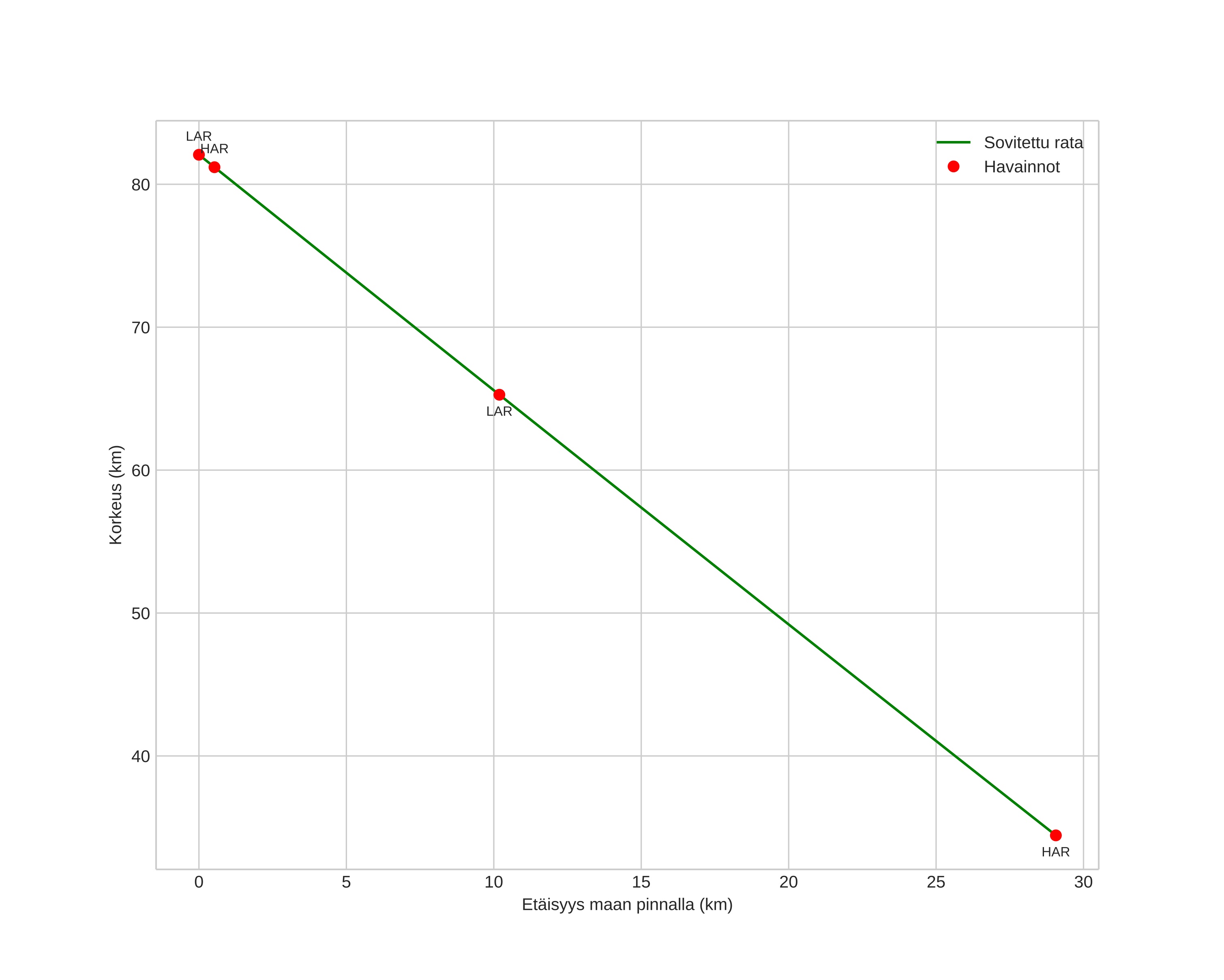
height profile
Meteorin ilmakehärata:
Alkukorkeus: 86,5 km
Loppukorkeus: 52,9 km
Alkupiste: 58,972N 10,268E
Loppupiste: 58,794N 10,362E
Suunta: 164,7°
Kallistuskulma: 58,6°
Tulonopeus: 29,5 km/s
Radiantin R,A,: 18:56 (284,1°)
Radiantin Dekl,: 81,3°
Meteoriparvi: Sporadinen
Meteoroidin rataelementit:
Perihelietäisyys: 0,948 AU
Eksentrisyys: 0,689
Inklinaatio: 43,8°
Nousevan solmun pituus: 240,4°
Perihelin argumentti: 205,5°
Keskianomalia: 356,5°
Epookki: 2021 NOV 22 20:19:47
orbit plot

Ei-interaktiivinen kuvaaja | Interaktiivinen kuvaaja

position vs time
speed and acceleration