🇳🇴 🇬🇧 🇩🇪 🇨🇿 🇫🇮

Meteor, poloha: Hattfjelldal 2021-11-25 20:04:50 UTC

Soubor KML  |  Interaktivní mapa

Mapa zobrazuje dráhy meteoru. Světlejší čáry ukazují směry od pozorovacích stanic při objevení se meteoru a tmavší čáry, kde byl naposledy viděn. Modrá šipka značí viditelnou dráhu meteoru.

static map
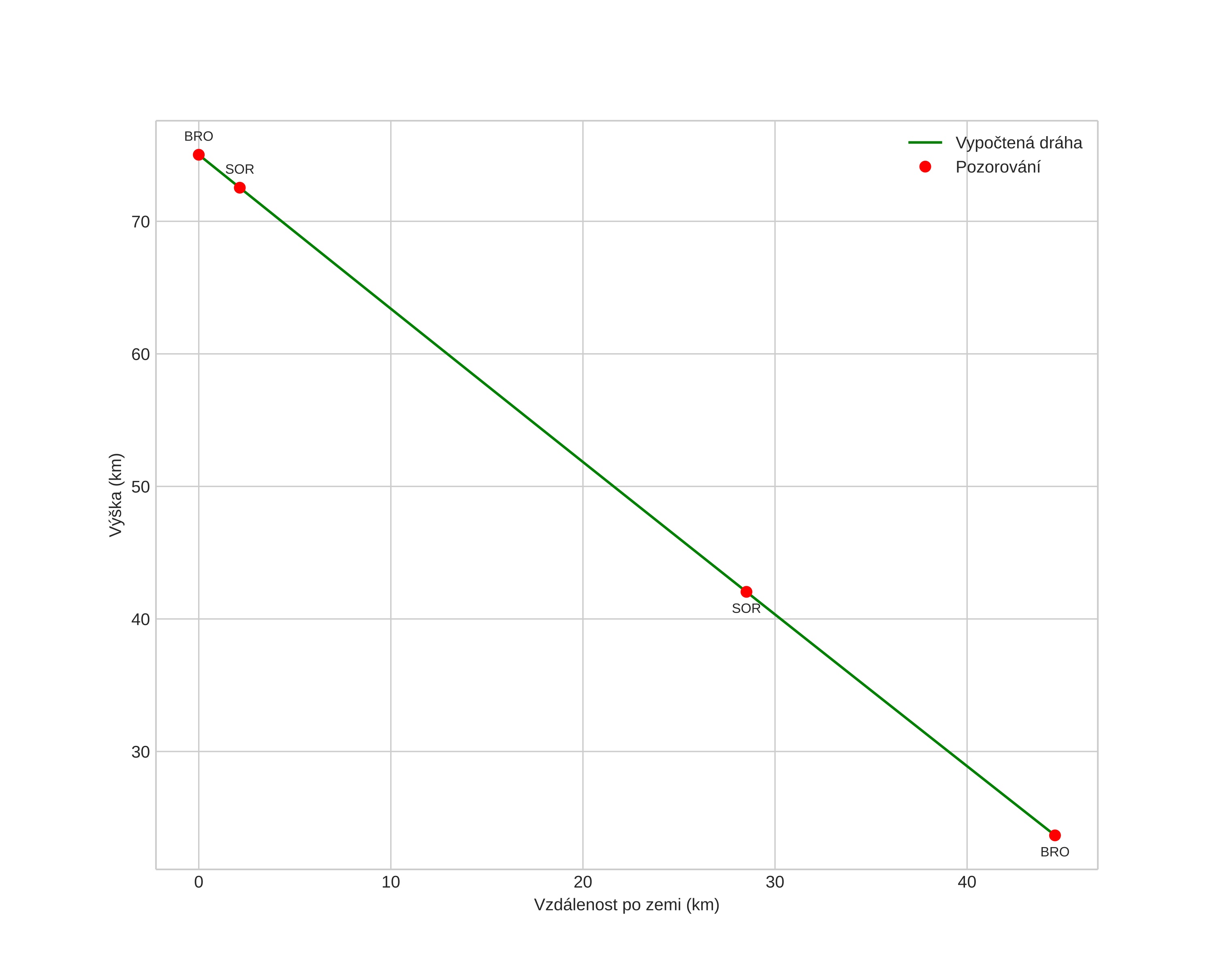
height profile
Atmosférická dráha meteoru:
Počáteční výška: 83,0 km
Konečná výška: 22,1 km
Počáteční poloha: 65,026N 16,212E
Konečná poloha: 65,231N 14,995E
Směr: 292,4°
Sklon: 44,8°
Vstupní rychlost: 28,4 km/s
Rektascenze radiantu: 04:52 (73,0°)
Deklinace radiantu: 30,0°
Meteorický roj: Severní Tauridy
Elementy dráhy meteoroidu:
Vzdálenost v periheliu: 0,391 AU
Excentricita: 0,773
Sklon dráhy: 7,6°
Délka vzestupného uzlu: 243,5°
Argument perihelia: 292,6°
Střední anomálie: 340,5°
Epocha: 2021 NOV 25 20:04:50
orbit plot

Neinteraktivní graf | Interaktivní graf

position vs time
speed and acceleration