🇳🇴 🇬🇧 🇩🇪 🇨🇿 🇫🇮

Meteor over Hattfjelldal 2021-11-25 20:04:50 UTC

KML file  |  Interactive map

The map shows the bearings for the meteor. The lighter lines show the directions from the observation sites at the meteor's appearance, and the darker lines show where it was last seen. The blue arrow indicates the visible path of the meteor.

static map
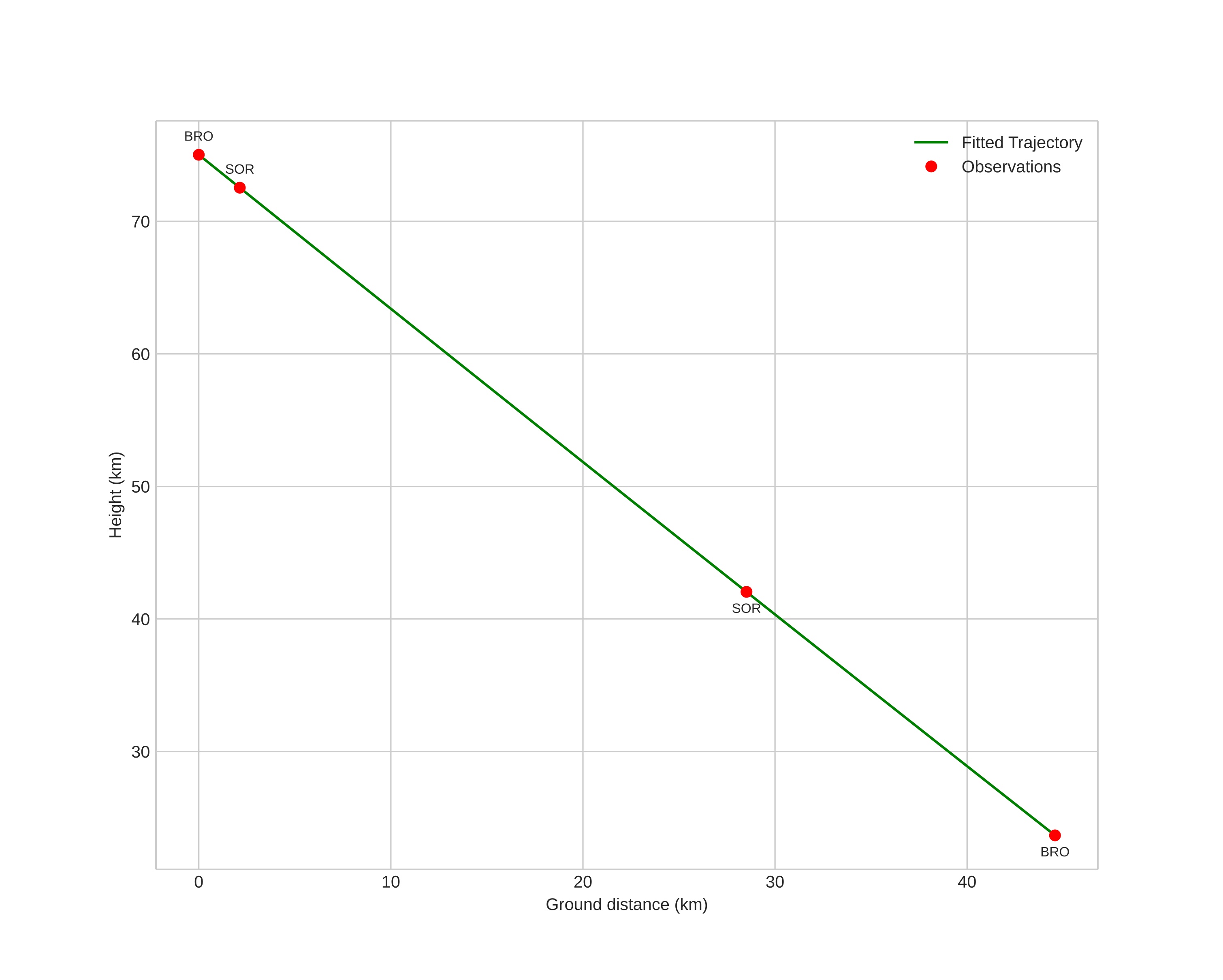
height profile
Meteor's Atmospheric Trajectory:
Start height: 83.0 km
End height: 22.1 km
Start position: 65.026N 16.212E
End position: 65.231N 14.995E
Direction: 292.4°
Inclination angle: 44.8°
Entry speed: 28.4 km/s
Radiant R.A.: 04:52 (73.0°)
Radiant Dec.: 30.0°
Meteor Shower: Northern Taurids
Meteoroid's Orbital Elements:
Perihelion distance: 0.391 AU
Eccentricity: 0.773
Inclination: 7.6°
Long. of Asc. Node: 243.5°
Argument of Perihelion: 292.6°
Mean Anomaly: 340.5°
Epoch: 2021 NOV 25 20:04:50
orbit plot

Non-interactive plot | Interactive plot

position vs time
speed and acceleration

Sorreisa (SOR) cam1


gnomonic
Videos
• Gnomonic
• Gnomonic with coordinates
• Original
• Original with coordinates
Images
• Gnomonic
• Gnomonic with coordinates
• Gnomonic with labels
• Original
• Original with coordinates
• Original with mask
Text Files
• Detection
• Observation
• Coordinates
• Log
Brightness