🇳🇴 🇬🇧 🇩🇪 🇨🇿 🇫🇮

Meteor, poloha: Tromsø 2021-11-30 15:11:43 UTC

Soubor KML  |  InteraktivnĂ­ mapa

Mapa zobrazuje dráhy meteoru. Světlejší čáry ukazují směry od pozorovacích stanic při objevení se meteoru a tmavší čáry, kde byl naposledy viděn. Modrá šipka značí viditelnou dráhu meteoru.

static map
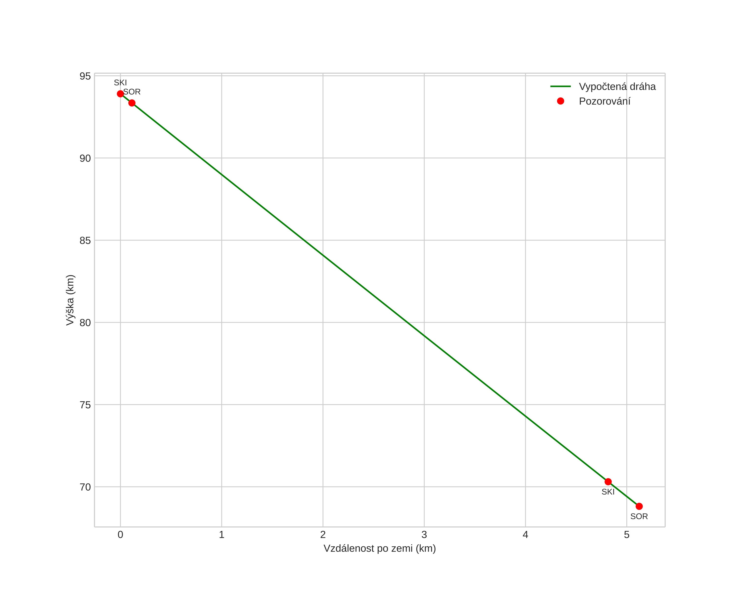
height profile
Atmosférická dráha meteoru:
Počáteční výška: 93,9 km
Konečná výška: 69,0 km
Počáteční poloha: 69,866N 19,012E
Konečná poloha: 69,830N 19,096E
Směr: 140,4°
Sklon: 78,5°
VstupnĂ­ rychlost: 27,3 km/s
Rektascenze radiantu: 18:41 (280,3°)
Deklinace radiantu: 76,5°
MeteorickĂ˝ roj: sporadickĂ˝
Elementy dráhy meteoroidu:
Vzdálenost v periheliu: 0,968 AU
Excentricita: 0,674
Sklon dráhy: 39,7°
Délka vzestupného uzlu: 248,3°
Argument perihelia: 197,5°
Střední anomálie: 357,5°
Epocha: 2021 NOV 30 15:11:43
orbit plot

NeinteraktivnĂ­ graf | InteraktivnĂ­ graf

position vs time
speed and acceleration