🇳🇴 🇬🇧 🇩🇪 🇨🇿 🇫🇮

Meteor Tromsøin yllä 2021-11-30 15:11:43 UTC

KML-tiedosto  |  Interaktiivinen kartta

Kartta näyttää meteorin suuntahavainnot. Vaaleammat viivat näyttävät suunnat havaintoasemilta meteorin ilmestyessä, ja tummemmat viivat näyttävät, missä se viimeksi nähtiin. Sininen nuoli näyttää meteorin näkyvän lennon.

static map
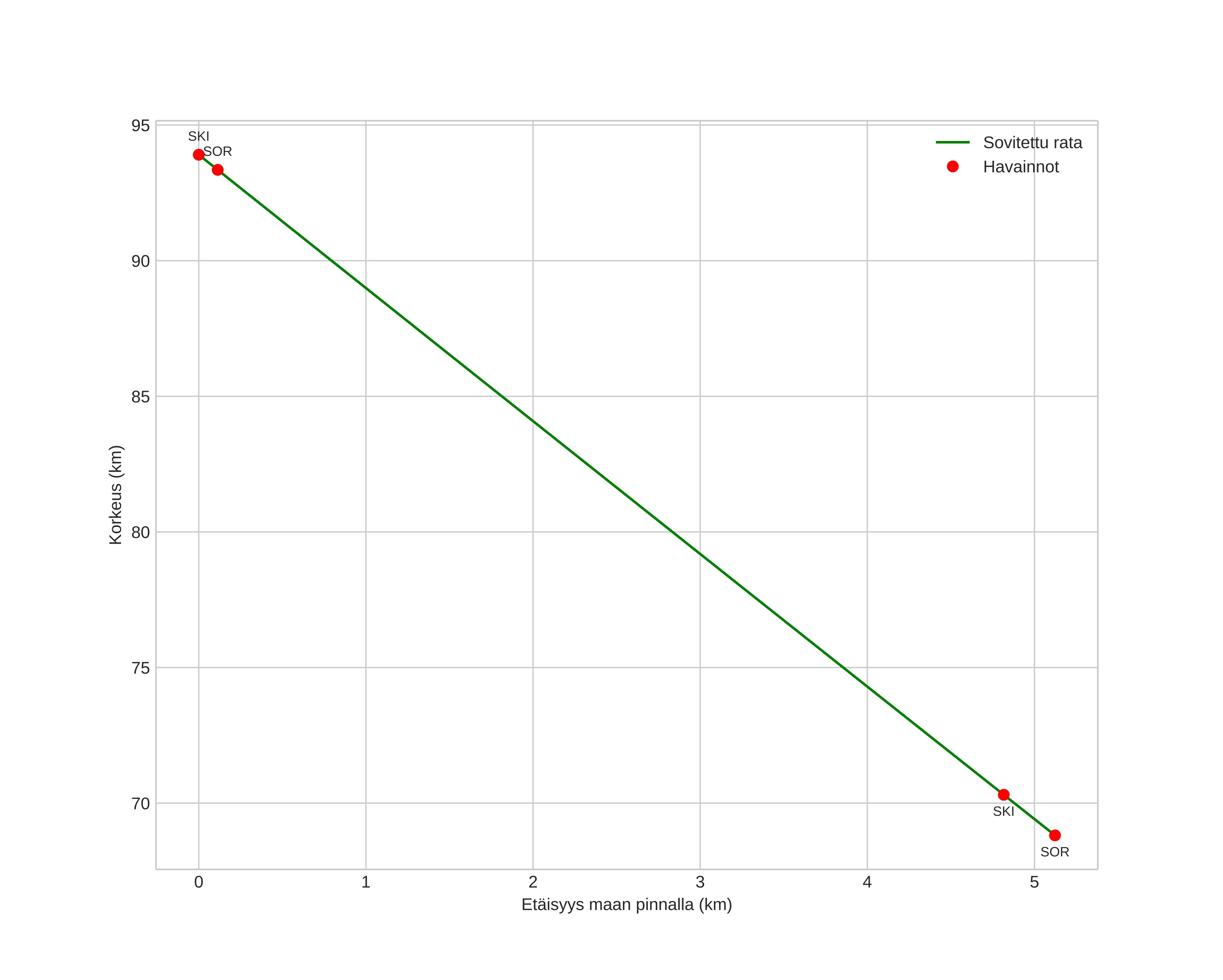
height profile
Meteorin ilmakehärata:
Alkukorkeus: 93,9 km
Loppukorkeus: 69,0 km
Alkupiste: 69,866N 19,012E
Loppupiste: 69,830N 19,096E
Suunta: 140,4°
Kallistuskulma: 78,5°
Tulonopeus: 27,3 km/s
Radiantin R,A,: 18:41 (280,3°)
Radiantin Dekl,: 76,5°
Meteoriparvi: Sporadinen
Meteoroidin rataelementit:
Perihelietäisyys: 0,968 AU
Eksentrisyys: 0,674
Inklinaatio: 39,7°
Nousevan solmun pituus: 248,3°
Perihelin argumentti: 197,5°
Keskianomalia: 357,5°
Epookki: 2021 NOV 30 15:11:43
orbit plot

Ei-interaktiivinen kuvaaja | Interaktiivinen kuvaaja

position vs time
speed and acceleration