🇳🇴 🇬🇧 🇩🇪 🇨🇿 🇫🇮

Meteor, poloha: Hatteng 2021-12-02 21:21:03 UTC

Soubor KML  |  InteraktivnĂ­ mapa

Mapa zobrazuje dráhy meteoru. Světlejší čáry ukazují směry od pozorovacích stanic při objevení se meteoru a tmavší čáry, kde byl naposledy viděn. Modrá šipka značí viditelnou dráhu meteoru.

static map
height profile
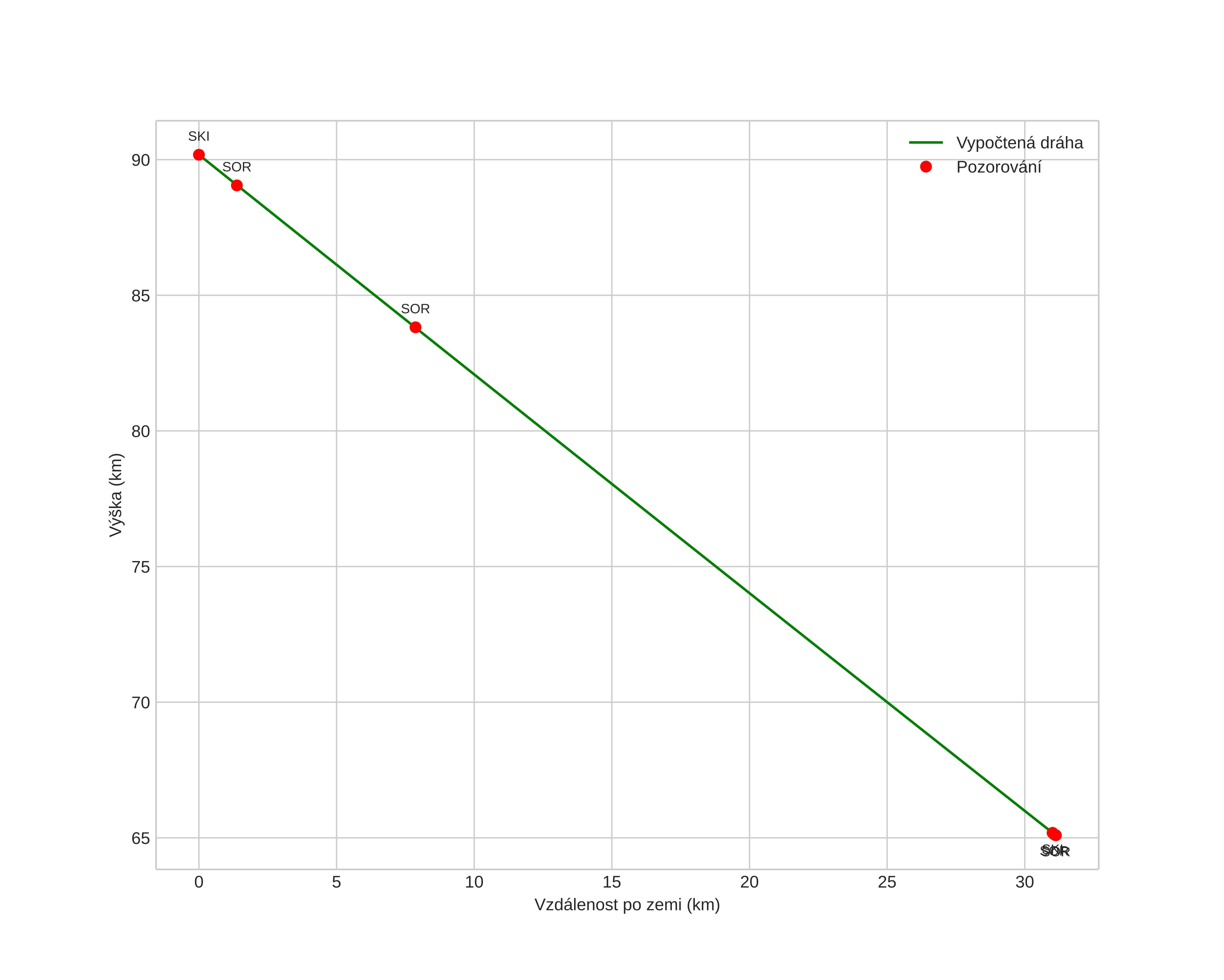
Atmosférická dráha meteoru:
Počáteční výška: 89,8 km
Konečná výška: 65,1 km
Počáteční poloha: 68,794N 20,083E
Konečná poloha: 69,057N 19,848E
Směr: 342,3°
Sklon: 38,8°
VstupnĂ­ rychlost: 23,7 km/s
Rektascenze radiantu: 04:25 (66,3°)
Deklinace radiantu: 15,0°
MeteorickĂ˝ roj: sporadickĂ˝
Elementy dráhy meteoroidu:
Vzdálenost v periheliu: 0,628 AU
Excentricita: 0,745
Sklon dráhy: 4,3°
Délka vzestupného uzlu: 70,7°
Argument perihelia: 81,4°
Střední anomálie: 348,9°
Epocha: 2021 DEC 02 21:21:03
orbit plot

NeinteraktivnĂ­ graf | InteraktivnĂ­ graf

position vs time
speed and acceleration