🇳🇴 🇬🇧 🇩🇪 🇨🇿 🇫🇮

Meteor Hattengin yllä 2021-12-02 21:21:03 UTC

KML-tiedosto  |  Interaktiivinen kartta

Kartta näyttää meteorin suuntahavainnot. Vaaleammat viivat näyttävät suunnat havaintoasemilta meteorin ilmestyessä, ja tummemmat viivat näyttävät, missä se viimeksi nähtiin. Sininen nuoli näyttää meteorin näkyvän lennon.

static map
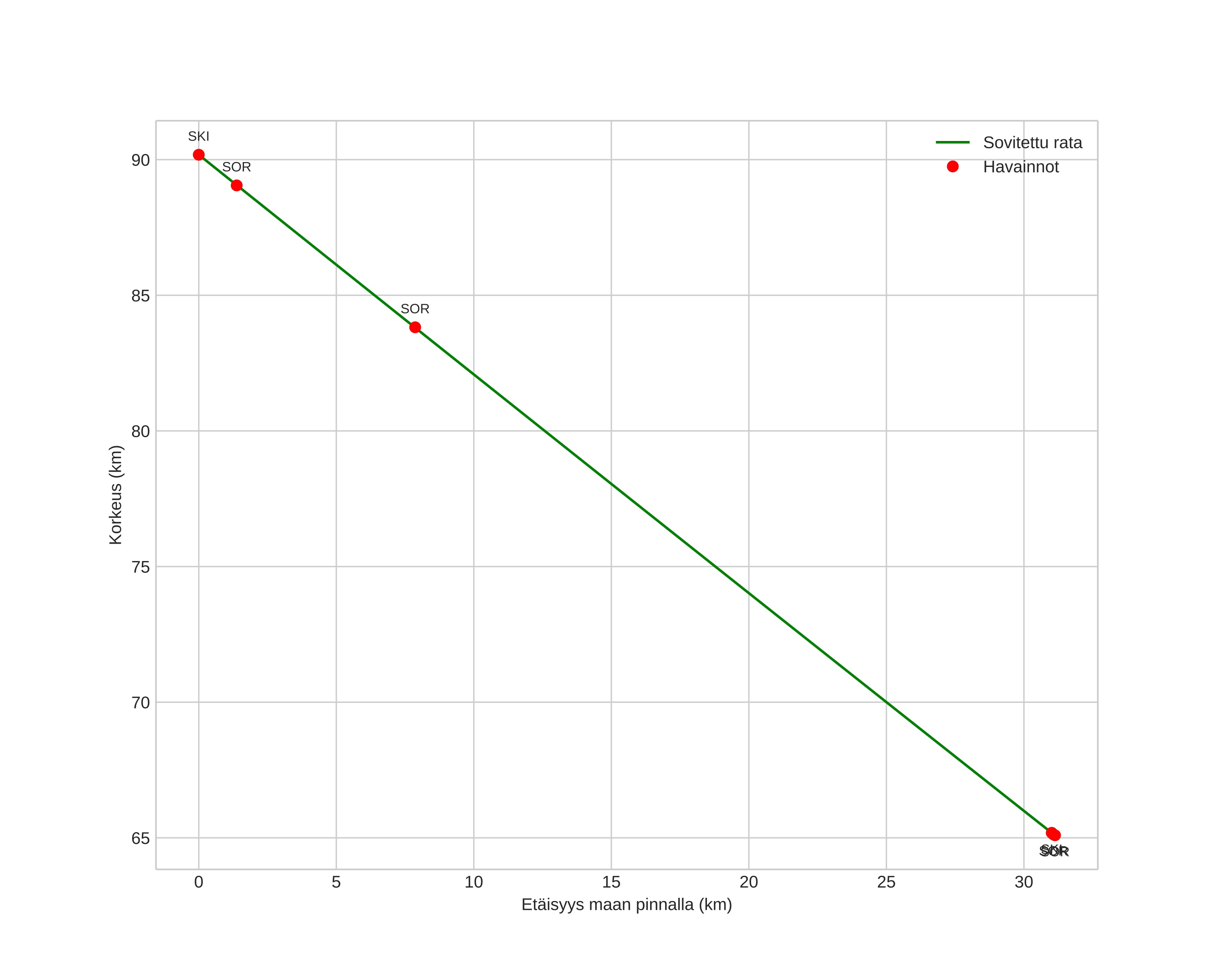
height profile
Meteorin ilmakehärata:
Alkukorkeus: 89,8 km
Loppukorkeus: 65,1 km
Alkupiste: 68,794N 20,083E
Loppupiste: 69,057N 19,848E
Suunta: 342,3°
Kallistuskulma: 38,8°
Tulonopeus: 23,7 km/s
Radiantin R,A,: 04:25 (66,3°)
Radiantin Dekl,: 15,0°
Meteoriparvi: Sporadinen
Meteoroidin rataelementit:
Perihelietäisyys: 0,628 AU
Eksentrisyys: 0,745
Inklinaatio: 4,3°
Nousevan solmun pituus: 70,7°
Perihelin argumentti: 81,4°
Keskianomalia: 348,9°
Epookki: 2021 DEC 02 21:21:03
orbit plot

Ei-interaktiivinen kuvaaja | Interaktiivinen kuvaaja

position vs time
speed and acceleration