🇳🇴 🇬🇧 🇩🇪 🇨🇿 🇫🇮

Meteor, poloha: Hatteng 2021-12-03 21:10:01 UTC

Soubor KML  |  InteraktivnĂ­ mapa

Mapa zobrazuje dráhy meteoru. Světlejší čáry ukazují směry od pozorovacích stanic při objevení se meteoru a tmavší čáry, kde byl naposledy viděn. Modrá šipka značí viditelnou dráhu meteoru.

static map
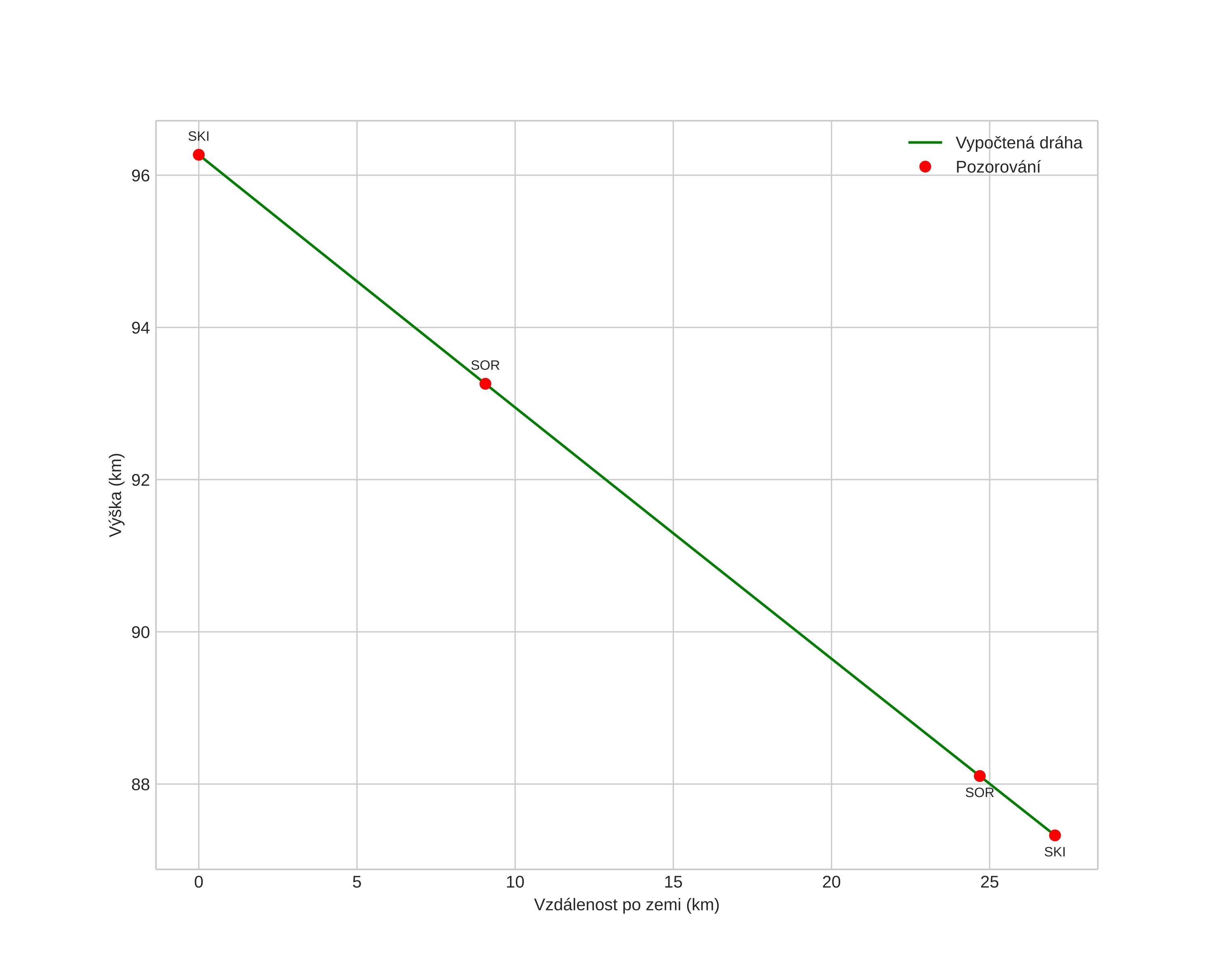
height profile
Atmosférická dráha meteoru:
Počáteční výška: 96,2 km
Konečná výška: 87,3 km
Počáteční poloha: 68,864N 20,095E
Konečná poloha: 69,088N 19,838E
Směr: 337,7°
Sklon: 18,3°
VstupnĂ­ rychlost: 28,2 km/s
Rektascenze radiantu: 04:45 (71,4°)
Deklinace radiantu: -4,9°
MeteorickĂ˝ roj: sporadickĂ˝
Elementy dráhy meteoroidu:
Vzdálenost v periheliu: 0,643 AU
Excentricita: 0,897
Sklon dráhy: 20,6°
Délka vzestupného uzlu: 71,6°
Argument perihelia: 74,6°
Střední anomálie: 357,6°
Epocha: 2021 DEC 03 21:10:01
orbit plot

NeinteraktivnĂ­ graf | InteraktivnĂ­ graf

position vs time
speed and acceleration