🇳🇴 🇬🇧 🇩🇪 🇨🇿 🇫🇮

Meteor Hattengin yllä 2021-12-03 21:10:01 UTC

KML-tiedosto  |  Interaktiivinen kartta

Kartta näyttää meteorin suuntahavainnot. Vaaleammat viivat näyttävät suunnat havaintoasemilta meteorin ilmestyessä, ja tummemmat viivat näyttävät, missä se viimeksi nähtiin. Sininen nuoli näyttää meteorin näkyvän lennon.

static map
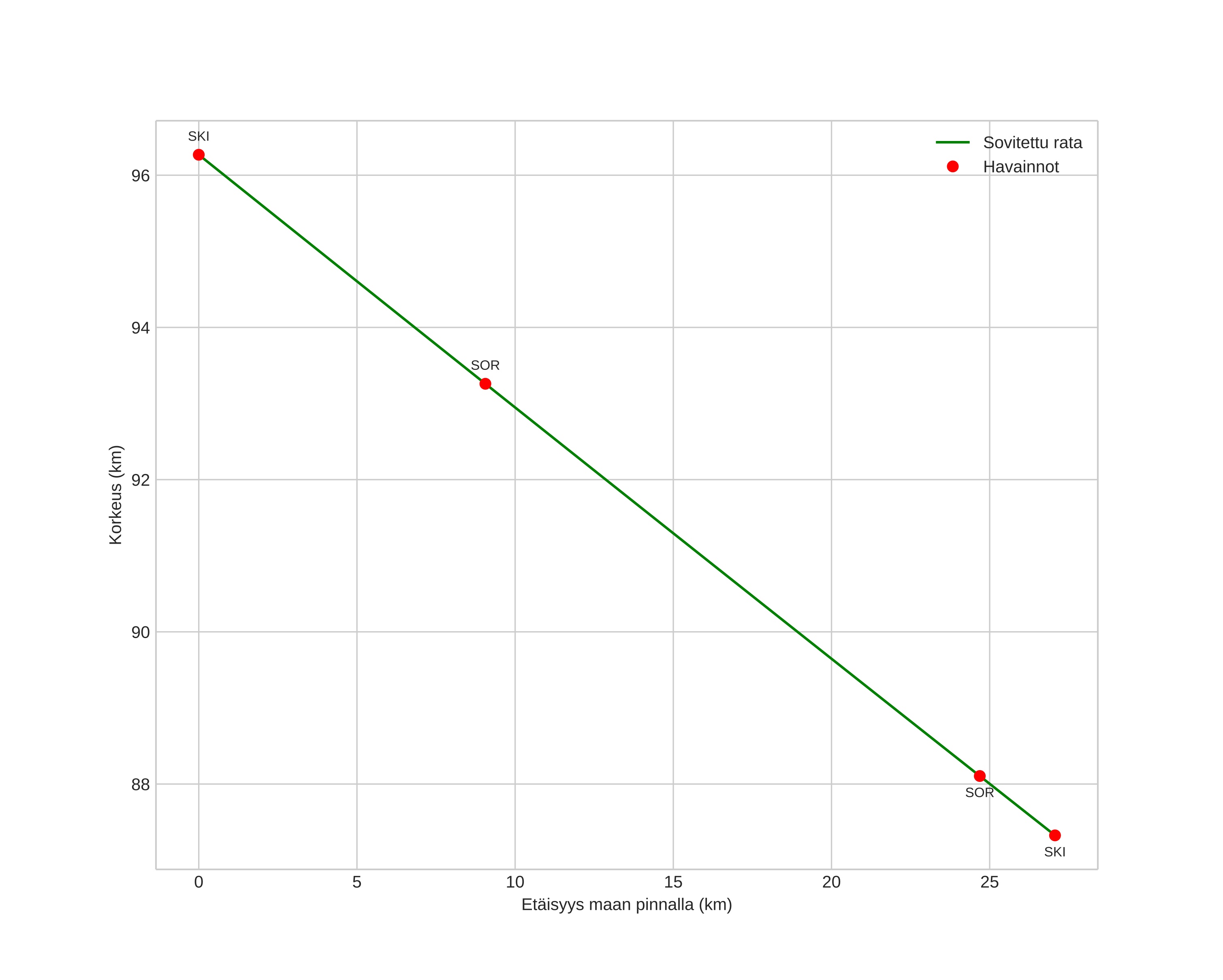
height profile
Meteorin ilmakehärata:
Alkukorkeus: 96,2 km
Loppukorkeus: 87,3 km
Alkupiste: 68,864N 20,095E
Loppupiste: 69,088N 19,838E
Suunta: 337,7°
Kallistuskulma: 18,3°
Tulonopeus: 28,2 km/s
Radiantin R,A,: 04:45 (71,4°)
Radiantin Dekl,: -4,9°
Meteoriparvi: Sporadinen
Meteoroidin rataelementit:
Perihelietäisyys: 0,643 AU
Eksentrisyys: 0,897
Inklinaatio: 20,6°
Nousevan solmun pituus: 71,6°
Perihelin argumentti: 74,6°
Keskianomalia: 357,6°
Epookki: 2021 DEC 03 21:10:01
orbit plot

Ei-interaktiivinen kuvaaja | Interaktiivinen kuvaaja

position vs time
speed and acceleration