🇳🇴 🇬🇧 🇩🇪 🇨🇿 🇫🇮

Meteor, poloha: Evjen 2021-12-03 23:49:13 UTC

Soubor KML  |  InteraktivnĂ­ mapa

Mapa zobrazuje dráhy meteoru. Světlejší čáry ukazují směry od pozorovacích stanic při objevení se meteoru a tmavší čáry, kde byl naposledy viděn. Modrá šipka značí viditelnou dráhu meteoru.

static map
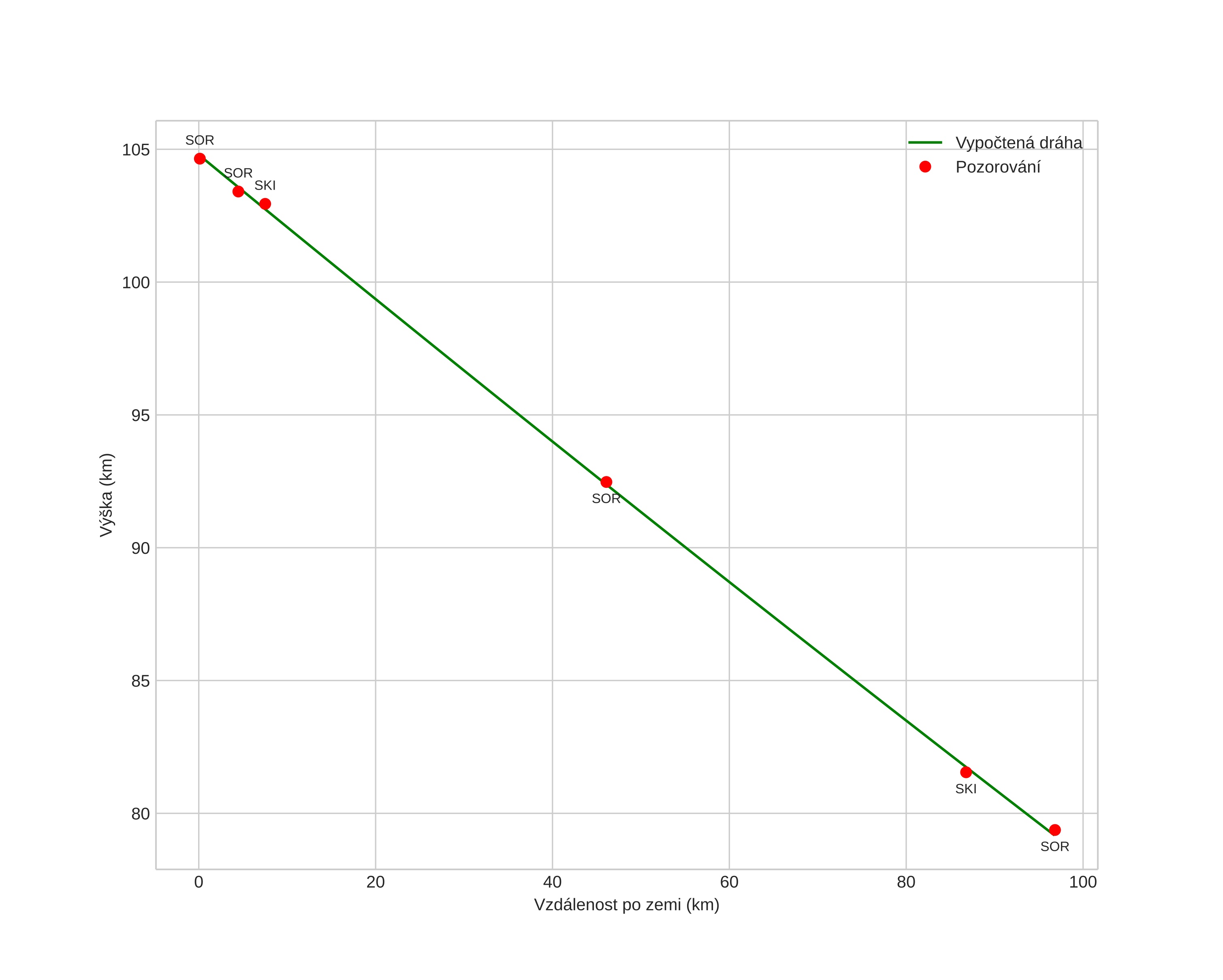
height profile
Atmosférická dráha meteoru:
Počáteční výška: 107,1 km
Konečná výška: 83,5 km
Počáteční poloha: 68,370N 15,097E
Konečná poloha: 68,870N 13,551E
Směr: 312,3°
Sklon: 15,7°
VstupnĂ­ rychlost: 63,7 km/s
Rektascenze radiantu: 08:42 (130,5°)
Deklinace radiantu: 0,2°
MeteorickĂ˝ roj: sporadickĂ˝
Elementy dráhy meteoroidu:
Vzdálenost v periheliu: 0,475 AU
Excentricita: 0,938
Sklon dráhy: 139,7°
Délka vzestupného uzlu: 71,7°
Argument perihelia: 94,1°
Střední anomálie: 358,2°
Epocha: 2021 DEC 03 23:49:13
orbit plot

NeinteraktivnĂ­ graf | InteraktivnĂ­ graf

position vs time
speed and acceleration