🇳🇴 🇬🇧 🇩🇪 🇨🇿 🇫🇮

Meteor Evjenin yllä 2021-12-03 23:49:13 UTC

KML-tiedosto  |  Interaktiivinen kartta

Kartta näyttää meteorin suuntahavainnot. Vaaleammat viivat näyttävät suunnat havaintoasemilta meteorin ilmestyessä, ja tummemmat viivat näyttävät, missä se viimeksi nähtiin. Sininen nuoli näyttää meteorin näkyvän lennon.

static map
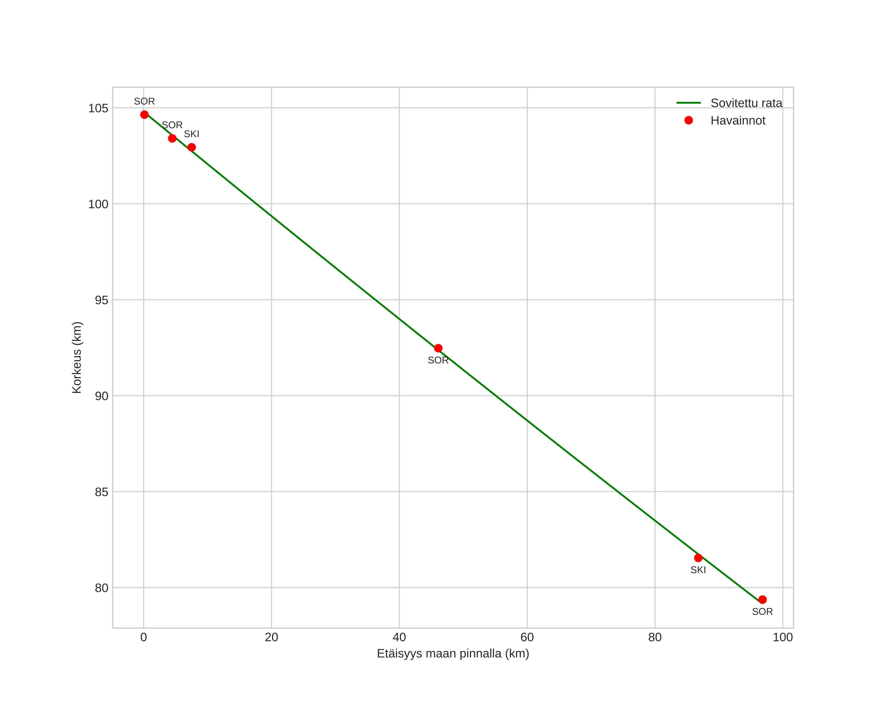
height profile
Meteorin ilmakehärata:
Alkukorkeus: 107,1 km
Loppukorkeus: 83,5 km
Alkupiste: 68,370N 15,097E
Loppupiste: 68,870N 13,551E
Suunta: 312,3°
Kallistuskulma: 15,7°
Tulonopeus: 63,7 km/s
Radiantin R,A,: 08:42 (130,5°)
Radiantin Dekl,: 0,2°
Meteoriparvi: Sporadinen
Meteoroidin rataelementit:
Perihelietäisyys: 0,475 AU
Eksentrisyys: 0,938
Inklinaatio: 139,7°
Nousevan solmun pituus: 71,7°
Perihelin argumentti: 94,1°
Keskianomalia: 358,2°
Epookki: 2021 DEC 03 23:49:13
orbit plot

Ei-interaktiivinen kuvaaja | Interaktiivinen kuvaaja

position vs time
speed and acceleration