🇳🇴 🇬🇧 🇩🇪 🇨🇿 🇫🇮

Meteor, poloha: Lødingen 2021-12-04 06:32:56 UTC

Soubor KML  |  InteraktivnĂ­ mapa

Mapa zobrazuje dráhy meteoru. Světlejší čáry ukazují směry od pozorovacích stanic při objevení se meteoru a tmavší čáry, kde byl naposledy viděn. Modrá šipka značí viditelnou dráhu meteoru.

static map
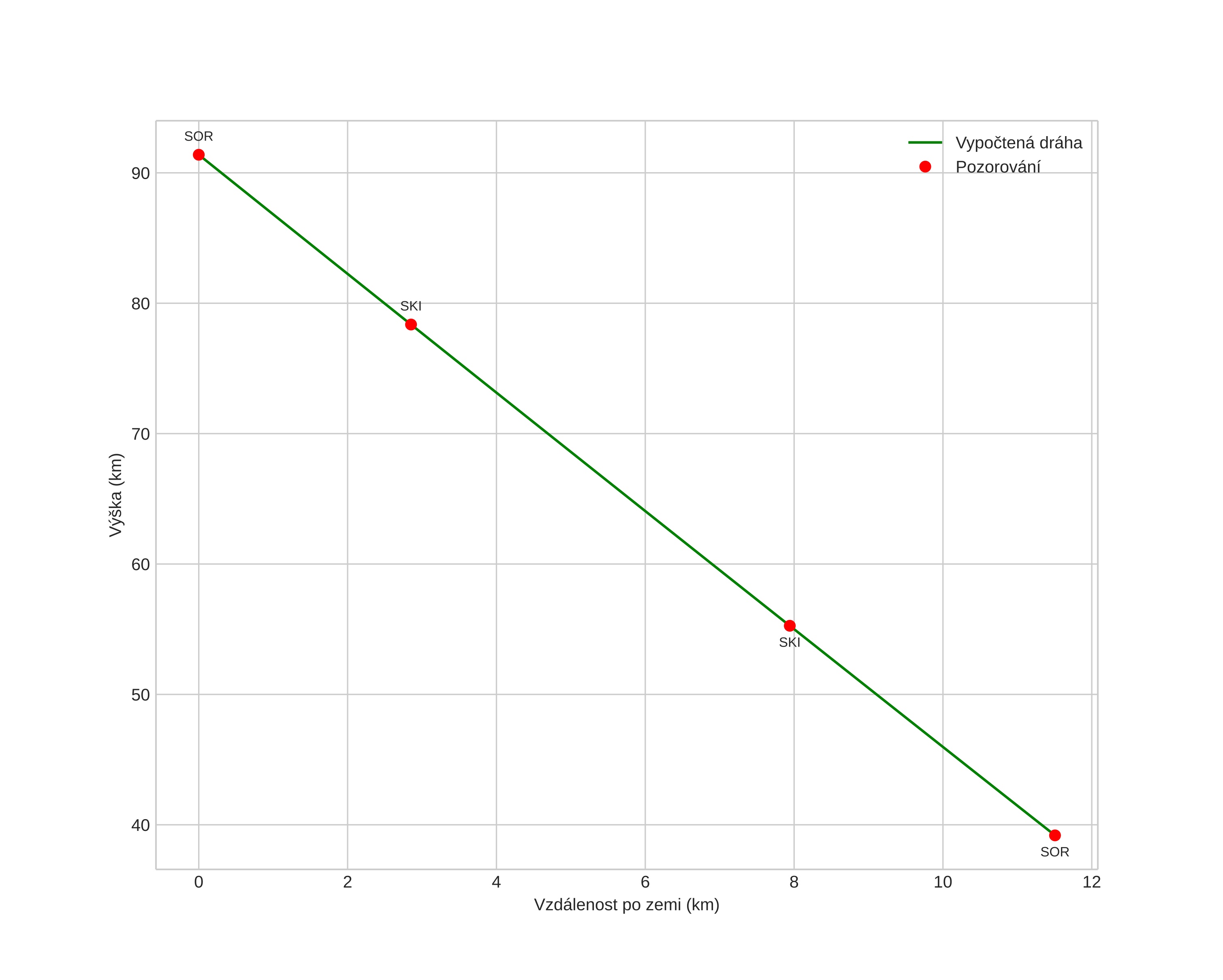
height profile
Atmosférická dráha meteoru:
Počáteční výška: 88,1 km
Konečná výška: 37,3 km
Počáteční poloha: 68,147N 16,285E
Konečná poloha: 68,154N 16,020E
Směr: 274,0°
Sklon: 77,8°
VstupnĂ­ rychlost: 39,7 km/s
Rektascenze radiantu: 14:26 (216,7°)
Deklinace radiantu: 64,3°
MeteorickĂ˝ roj: sporadickĂ˝
Elementy dráhy meteoroidu:
Vzdálenost v periheliu: 0,985 AU
Excentricita: 0,684
Sklon dráhy: 65,3°
Délka vzestupného uzlu: 252,0°
Argument perihelia: 182,0°
Střední anomálie: 359,7°
Epocha: 2021 DEC 04 06:32:56
orbit plot

NeinteraktivnĂ­ graf | InteraktivnĂ­ graf

position vs time
speed and acceleration